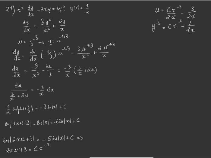
Question: Q. Why the given problem is this wrong? Prove it by solving it with proper formulas? 21) x dy - 2xy = 3y drc dy
21) x dy - 2xy = 3y" drc dy - 344 24 = + dx x M = dx -3 y dy du = dx dx _9 -S x2 = y= u -1/3 (- 3) u 611 x 3 dx x y /11= -4/3 = du 3. +2 2/ Ipu12/1 - -31x1 + C lu | 2x11+31_lu 1x1=-6lu|x/+C 11 3 -413 x en 12x1 +31= - Seulx|+ C => S 2x11+3=Cx 3 '( =/ +241) 2 + x -1/3 U = Cx-5 2x -3 6 y= = Cx= 3 24 33/1 3x 21) x dy - 2xy = 3y" drc dy dx M = dx = -3 y dy du = dx dx _9 -S = 3y4 24 + x -1/3 x2 y= u (-3) u 611 x g/11= -4/3 3 dx x = du 3. +2 2 p 21-30 1x1 + C lu|2x11+31_lu 1x|=-6lu|x|+C 11 3 -413 x en 12x1 +31= - Seulx|+ C => S 2x11+3=Cx 3 '( =/ +241) 2 + x -1/3 U = Cx-5 2x -3 6 y= = Cx= 3 24 33/1 3x
Step by Step Solution
3.28 Rating (154 Votes )
There are 3 Steps involved in it
Okay here are the stepbystep calculations to solve this problem correctly 1 Given di... View full answer
Get step-by-step solutions from verified subject matter experts
