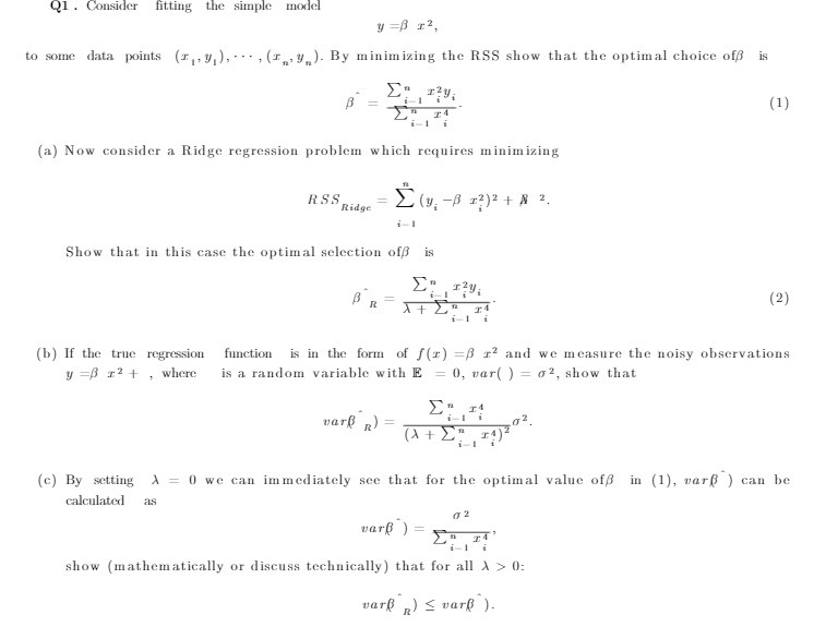
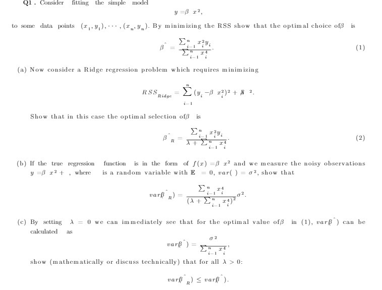
Question: Q1 . Consider fitting the simple model y =# x2. to some data points (x , y, ), -.. . (x , y,). By minimizing


Q1 . Consider fitting the simple model y =# x2. to some data points (x , y, ), -.. . (x , y,). By minimizing the RSS show that the optimal choice off is B (1 ) (a) Now consider a Ridge regression problem which requires minimizing RSS. Ridge = E (y, -8 x2) 2 + N 2. i-1 Show that in this case the optimal selection off is BR = (2) (b) If the true regression function is in the form of f(x) =0 r? and we measure the noisy observations y = x3 + , where is a random variable with E = 0, war( ) = 02, show that warf R) = (c) By setting A = 0 we can immediately see that for the optimal value off in (1), warf ) can be calculated 0 2 var( ) = So It show (mathematically or discuss technically ) that for all A > 0: war( )
Step by Step Solution
There are 3 Steps involved in it
Get step-by-step solutions from verified subject matter experts
