Question: Q1. Describe and interpret the above data ? [10 points; Answer limited to max 1 page, 12 point font, 1point line spacing; 2.54cms normal page





Q1. Describe and interpret the above data? [10 points; Answer limited to max 1 page, 12 point font, 1point line spacing; 2.54cms normal page margin setting for top, bottom, left and right hand side margins.]
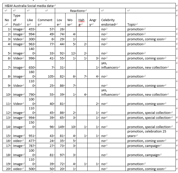
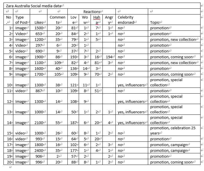
Case Study H&M, Swedish multinational clothing-retail company known for its fast-fashion clothing for men, women, teenagers and children. It is present on 71 markets, while its online business is established in more than 47 countries. The H&M Group is continuously growing and H&M's fashion apparels are known to be sold at affordable prices and it uses frequent discounting and promotions. The clothing stocks turnover every two weeks and therefore, H&M is able to attract more customers shopping for the latest fashion Zara, the main competitor of H&M, is one of the leading clothing brands in the lifestyle and retail sector. It is known for its high-end fashion apparels sold at a premium price. Zara offers a wide range of products, and produces around 11,000 new product designs annually, compared to their key competitors who offer around 2000-4000. Zara has over 2000 stores all over the world and offers well designed fast delivery of new products. Zara also keeps low inventory levels, with a turnover every 2 weeks. e A comparison of top performing category breakdown, based on products arriving new and selling out of majority stock keeping units (SKU's) for H&M and Zara stores in Australia in 2020 is given below:- Top performing category breakdown at H&M vs. Zara H&M Zara Tops Bottoms Dresses Accessories Outerwear Footwear Underwear I Sleepwear All In Ones Hosiery Product Sets Due to the pandemic the logistical flow of deliveries across all market sectors was disrupted as factories closed due to COVID-19. Consequently, order cancellations due to sluggish sales saw arrivals struggle to return to pre-COVID levels. Zara is the only retailer in 2020 to see an increase in new stock arrivals up 11% whereas arrivals are down 8% at H&M compared to 2019. In 2020, both retail giants have made extensive use of social media to reach out to their customers. Zara uses its social media as a look book to show off new trends and inspire customers to buy new and completed looks. Zara has over 28 million followers on Facebook, 39 million followers on Instagram and approximately 1.4 million on Twitter. 4 H&M is active on social media and consistently posts on Facebook and Instagram, where it advertises its collections. H&M has a large following on both Facebook and Instagram. H&M has over 32 million followers on Facebook, 24 million followers on Instagram and approximately 8 million followers on Twitter - The following tables present a data sample of the 20 latest posts collected from the Facebook pages of H&M and Zara respectively. H&M Australia Social media data Reactions Wo Hah WWW so se we a ye Angr Celebrity endorsed no 44 no Type No of Like Comment Lov Poste 14 Image4554 57 26 2 Image 994 49 74 34 Video 300 6 29 4 Image 963 77 44 140 5 Image 0 33 92 64 Video 996 41 55 Topice promotion promotion promotion, coming soon promotion 11 no 5 2 noe 12 24 no PN promotion promotion, coming soon 14 1 34 no yes, 14 influencerse 7 Image 7 311 promotion, new collection 650 160 0 84 Image 105 82 6 7 44 no promotion 110 0 9 Video 25 86 74 no promotion, coming soon yes, influencerse 55 39 11 44 promotion, new collection 404 816 2 no promotion, coming soon 10 Image 790 100 114 Video 0 110 12 Image 0 13 Image 994 150 14 Image 0 2 45 39 86 656 WIN 14 no 1 noe promotion, special collection promotion, special collection 96 149 1041 1 14 no 43 44 11 14 no 81 35 promotion, special collection promotion, celebration 25 yearse promotion, coming soon promotion, campaign 24 54 no no 27 7341 3 15 Image 9514 16 video 477 17 Image 787 100 18 Image 0 110 19 Image 0 20 video 500 81 97 w 34 no promotion, campaign 72 11 14 no 39 50 44 1 promotion promotion, coming soon 201 no T. 1. T. 12 12 6 92 no no 24 4 3e W 24 T. Zara Australia Social media data Reactions No Type Commen LOV Wo Hah Angr Celebrity of Post Likese tse we a y endorsed Topice 14 Image 1500 202 812 le za 1e no promotion 24 Video 653 202 84 2 12 no- promotion 34 Image 1200 352 79 52 no promotion, new collection 4 Video 2972 20 12 promotion 54 video 690 372 ze promotion 64 Image 1900 86 1931 32 16 1942 no promotion, coming soon 74 Image 1100 109 82e 812 no- promotion, new collection 8 Image 1600 402 136 14 3e no promotion 9 Image 1700 105 109 9 70 no promotion, coming soon 10 Image promotion, special 1300 38 1211 11 12 yes, influencerse collection 114 video 8672 10 109 8 51e promotion 12 Image promotion, special 1300 14 108 yes, influencers collection 13 Image promotion, special 1000 142 50 14 yes, influencers collection 14 Image promotion, special 2100 552 187 200 4 yes, influencers collection 154 video promotion, celebration 25 1000 26 60 8 12 2a no years 16 video 993 15 64 52 200 no promotion 174 Image 1800 16 102 62 3e no promotion, campaign 184 Image 2400 352 1774 le 42 1e promotion, campaign 19 Image 906 2e 57 2e 22 no promotion 20 Image 996 20 88 82 12 22 promotion, coming soon 00 no ge T. 12 24 T. 6 24 no 1. T. T. NIN no Case Study H&M, Swedish multinational clothing-retail company known for its fast-fashion clothing for men, women, teenagers and children. It is present on 71 markets, while its online business is established in more than 47 countries. The H&M Group is continuously growing and H&M's fashion apparels are known to be sold at affordable prices and it uses frequent discounting and promotions. The clothing stocks turnover every two weeks and therefore, H&M is able to attract more customers shopping for the latest fashion Zara, the main competitor of H&M, is one of the leading clothing brands in the lifestyle and retail sector. It is known for its high-end fashion apparels sold at a premium price. Zara offers a wide range of products, and produces around 11,000 new product designs annually, compared to their key competitors who offer around 2000-4000. Zara has over 2000 stores all over the world and offers well designed fast delivery of new products. Zara also keeps low inventory levels, with a turnover every 2 weeks. e A comparison of top performing category breakdown, based on products arriving new and selling out of majority stock keeping units (SKU's) for H&M and Zara stores in Australia in 2020 is given below:- Top performing category breakdown at H&M vs. Zara H&M Zara Tops Bottoms Dresses Accessories Outerwear Footwear Underwear I Sleepwear All In Ones Hosiery Product Sets Due to the pandemic the logistical flow of deliveries across all market sectors was disrupted as factories closed due to COVID-19. Consequently, order cancellations due to sluggish sales saw arrivals struggle to return to pre-COVID levels. Zara is the only retailer in 2020 to see an increase in new stock arrivals up 11% whereas arrivals are down 8% at H&M compared to 2019. In 2020, both retail giants have made extensive use of social media to reach out to their customers. Zara uses its social media as a look book to show off new trends and inspire customers to buy new and completed looks. Zara has over 28 million followers on Facebook, 39 million followers on Instagram and approximately 1.4 million on Twitter. 4 H&M is active on social media and consistently posts on Facebook and Instagram, where it advertises its collections. H&M has a large following on both Facebook and Instagram. H&M has over 32 million followers on Facebook, 24 million followers on Instagram and approximately 8 million followers on Twitter - The following tables present a data sample of the 20 latest posts collected from the Facebook pages of H&M and Zara respectively. H&M Australia Social media data Reactions Wo Hah WWW so se we a ye Angr Celebrity endorsed no 44 no Type No of Like Comment Lov Poste 14 Image4554 57 26 2 Image 994 49 74 34 Video 300 6 29 4 Image 963 77 44 140 5 Image 0 33 92 64 Video 996 41 55 Topice promotion promotion promotion, coming soon promotion 11 no 5 2 noe 12 24 no PN promotion promotion, coming soon 14 1 34 no yes, 14 influencerse 7 Image 7 311 promotion, new collection 650 160 0 84 Image 105 82 6 7 44 no promotion 110 0 9 Video 25 86 74 no promotion, coming soon yes, influencerse 55 39 11 44 promotion, new collection 404 816 2 no promotion, coming soon 10 Image 790 100 114 Video 0 110 12 Image 0 13 Image 994 150 14 Image 0 2 45 39 86 656 WIN 14 no 1 noe promotion, special collection promotion, special collection 96 149 1041 1 14 no 43 44 11 14 no 81 35 promotion, special collection promotion, celebration 25 yearse promotion, coming soon promotion, campaign 24 54 no no 27 7341 3 15 Image 9514 16 video 477 17 Image 787 100 18 Image 0 110 19 Image 0 20 video 500 81 97 w 34 no promotion, campaign 72 11 14 no 39 50 44 1 promotion promotion, coming soon 201 no T. 1. T. 12 12 6 92 no no 24 4 3e W 24 T. Zara Australia Social media data Reactions No Type Commen LOV Wo Hah Angr Celebrity of Post Likese tse we a y endorsed Topice 14 Image 1500 202 812 le za 1e no promotion 24 Video 653 202 84 2 12 no- promotion 34 Image 1200 352 79 52 no promotion, new collection 4 Video 2972 20 12 promotion 54 video 690 372 ze promotion 64 Image 1900 86 1931 32 16 1942 no promotion, coming soon 74 Image 1100 109 82e 812 no- promotion, new collection 8 Image 1600 402 136 14 3e no promotion 9 Image 1700 105 109 9 70 no promotion, coming soon 10 Image promotion, special 1300 38 1211 11 12 yes, influencerse collection 114 video 8672 10 109 8 51e promotion 12 Image promotion, special 1300 14 108 yes, influencers collection 13 Image promotion, special 1000 142 50 14 yes, influencers collection 14 Image promotion, special 2100 552 187 200 4 yes, influencers collection 154 video promotion, celebration 25 1000 26 60 8 12 2a no years 16 video 993 15 64 52 200 no promotion 174 Image 1800 16 102 62 3e no promotion, campaign 184 Image 2400 352 1774 le 42 1e promotion, campaign 19 Image 906 2e 57 2e 22 no promotion 20 Image 996 20 88 82 12 22 promotion, coming soon 00 no ge T. 12 24 T. 6 24 no 1. T. T. NIN noStep by Step Solution
There are 3 Steps involved in it
Get step-by-step solutions from verified subject matter experts
