Question: Q1. The set of data below is from a sample of n = 6: 7 4 9 7 3 12 a. Calculate the mean, median
Q1. The set of data below is from a sample of n = 6: 7 4 9 7 3 12
a. Calculate the mean, median and mode.
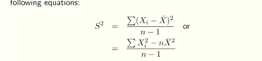
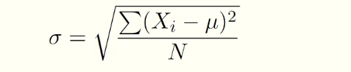
b. Calculate the range, interquartile range, variance, standard deviation and coefficient of variation.
use your calculator for this question. Write up your answers showing your all working and calculations not just the answer
following these formulas


following equations: S2 = or (X; - X2 n - 1 ? X2 n - 1 = = (X )2 N
Step by Step Solution
There are 3 Steps involved in it
Get step-by-step solutions from verified subject matter experts
