Question: Q1. Using the functions defined below, determine the indicated values. f ( x ) = 4 ? 10 x ; g ( x ) =
Q1. Using the functions defined below, determine the indicated values.
f(x) = 4 ? 10x; g(x) = x2 ? x + 6
(a) g(?3) =
(b) f(5) ? g(?3) =
(c) g(3) f(4) =
Q2. The graph of the function H(x) is shown below. Use the graph to answer the following.


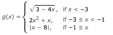
\f3 - 4x, ifx
Step by Step Solution
There are 3 Steps involved in it
Get step-by-step solutions from verified subject matter experts
