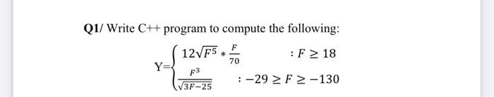
Question: Q1/ Write C++ program to compute the following: F : F > 18 12VF5* 70 P3 : :-29 F-130 3F-25
Q1/ Write C++ program to compute the following: F : F > 18 12VF5* 70 P3 : :-29 F-130 3F-25
Step by Step Solution
There are 3 Steps involved in it
1 Expert Approved Answer
Step: 1 Unlock
Question Has Been Solved by an Expert!
Get step-by-step solutions from verified subject matter experts
Step: 2 Unlock
Step: 3 Unlock
