Question: Q2: Solve these problems using MATLAB Make sure that the code script is well organized and understandable, write comments at necessary places using % sign.


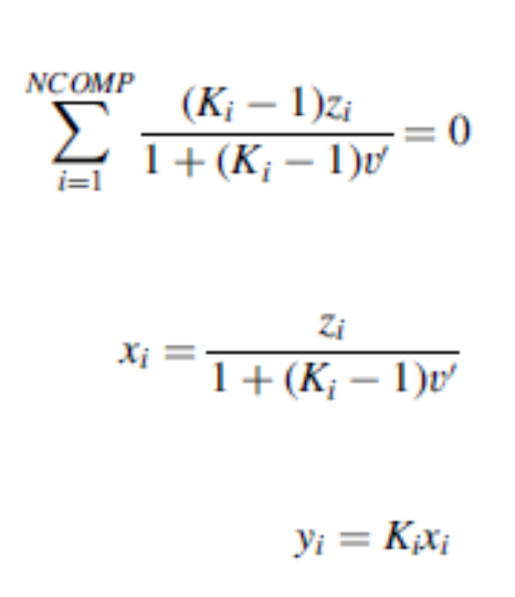
Q2: Solve these problems using MATLAB Make sure that the code script is well organized and understandable, write comments at necessary places using % sign. For a stream having composition as shown in Table-1, solve the Rachford-Rice equation to find out the v, and then find out the vapor and liquid composition. NCOMP (K-1) 1 + (K;-) 0 Rachford-Rice equation. zi is mole fraction; X 22 1 + (K - I Liquid composition if v' is known. y=k Vapor composition Table 1 Stream data Parameter Propane n-Butane n-Pentane Ki 3.7 1.4 0.6 10 15 75 Molar flow rates (kgmol/hr) 15 25 60 20 30 50 Hint: Convert molar flow rate to mole fractions, take all the date at once to find three values of V' for the three data set. NCOMP (; 1) 1+ (K, - 1)' 0 1+ (K, - 1)' Yi = Kixi
Step by Step Solution
There are 3 Steps involved in it
Get step-by-step solutions from verified subject matter experts
