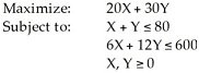
Question: Q7. Consider the following linear programming problem This is a special case of a linear programming problem in which A) T here is no feasible
Q7. Consider the following linear programming problem

This is a special case of a linear programming problem in which
A) There is no feasible solution.
B) There are multiple optimal solutions
C) This cannot be solved graphically
D) None of the above
Q8. Consider the following linear programming problem
Max Z = $20x + $20y
Subject to : 8x + 4y 40
5x + 10y 4
x, y 0
Find the optimal profit (Z) and the values of x1 and x2 at the optimal solution
A) x = 0, y = 10, maximum revenue = $200
B) x = 4, y = 2, maximum revenue = $120
C) x = 5, y = 0, maximum revenue = $100
D) x = 0, y = 4, maximum revenue = $80
E) x = 8, y = 0, maximum revenue = $160
Q9. For a linear programming problem with the constraints 2X + 4Y 100 and 1X + 8Y 100, two of its corner points are (0, 0) and (0, 25).
True
False
Q10. For the constraints given below, which point is in the feasible region of this maximization problem?
(1) 14x + 6y
A) x = 2, y = 1
B) x = 2, y = 8
C) x = -1, y = 1
D) x = 1, y = 5
E) x = 4, y = 4
Q11. For the line that has the equation 4 X 1 + 8 X 2 = 88, an axis intercept is:
A) (0, 11).
B) (6, 0).
C) (0, 22).
D) (6, 22).
Q12. If cars sell for $500 profit and trucks sell for $300 profit which of the following represents the objective function?
A)Minimize: Z = 500C + 300T
B) Maximize: Z = 500C+ 300T
C) Maximize: Z = 500C - 300T
D) Minimize: Z = 300T- 500C
E) NONE
please help. I will provide +feedback
Maximize: Subject to: 20X + 30Y X + Y = 80 6X + 12Y 3 600 X, Y 20Step by Step Solution
There are 3 Steps involved in it
Get step-by-step solutions from verified subject matter experts
