Question: QUESTION 1 2 a) Determine the domain of the function f (x) = V3x -4-2 (5 marks) b) Evaluate each of the following limits by






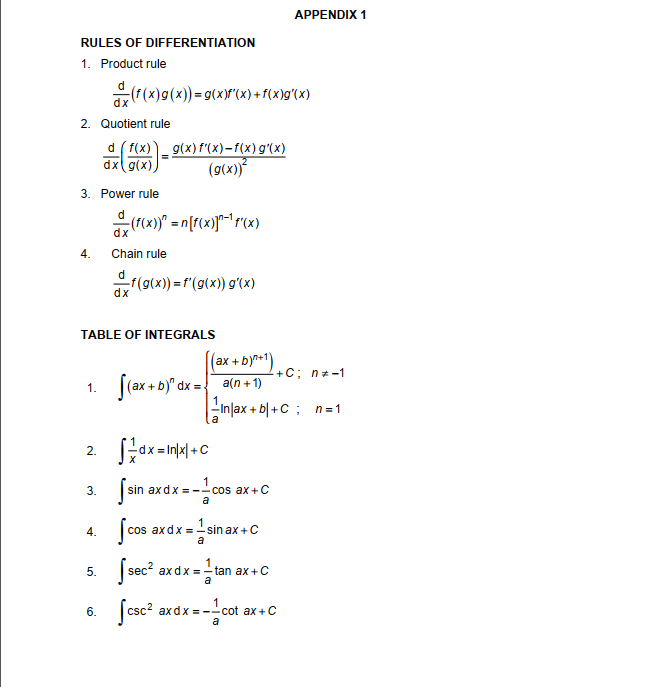
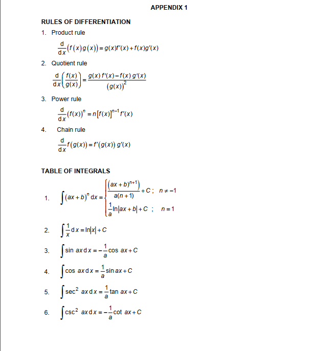
QUESTION 1 2 a) Determine the domain of the function f (x) = V3x -4-2 (5 marks) b) Evaluate each of the following limits by using the limit laws. i) lim sin 2x - X cos 2x x-0 tan 2x (6 marks) ii) lim 2x - 13x +15 x-5 5- X (3 marks) c) Given f (X) = Vx- +12 -4 2x3 -6 and g (x) = Find lim f (x) + lim g(x). x - 2 x +1 X-2 X -00 (6 marks)APPENDIX 1 RULES OF DIFFERENTIATION 1. Product rule (f ( x ) 9 ( x ) ) = g(x )' ( x ) + f(x )g'(x ) 2. Quotient rule d (f (x) _ g(x) f(x)- f(x)g'(x) dx g(x) (g(x)) 3. Power rule "( f( x ) ) " = n[f( x ) ]" ' f ( x ) 4. Chain rule dx "f (g(x)) = f(9(x)) g'(x) TABLE OF INTEGRALS (ax + b)7+1) +C; n#-1 1 . [( ax + b ) " dx = a(n + 1) - Inlax + b/ + C ; n=1 2 . - dx = In/ x | + c 3 . sin axdx = - - cos ax + C 4. cos axdx = - sin ax + C 5 . sec? axdx = = tan ax + C 6. csc2 axdx = --cot ax + c a
Step by Step Solution
There are 3 Steps involved in it
Get step-by-step solutions from verified subject matter experts
