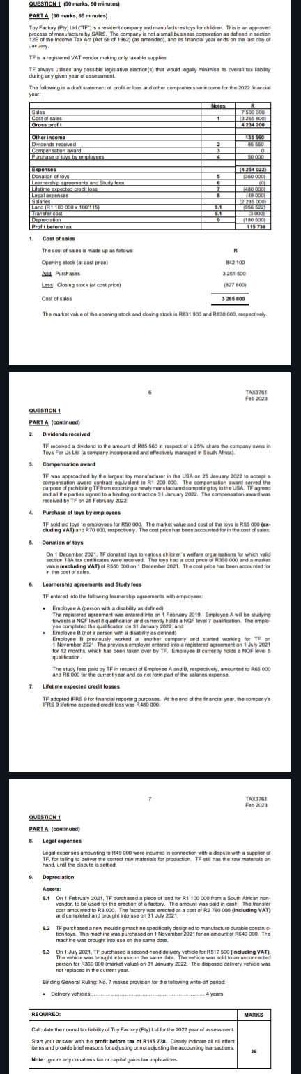
Question: QUESTION 1 ( 5 0 marks, 9 0 minutes ) PART A ( 3 6 marks, 6 5 minutes ) Toy Factory ( Poy )
QUESTION marks, minutes PART A marks, minutes
Toy Factory Poy Led TF is a resident company and manufactures toys for children. This is an approved Jaruary.
TF is a registered VAT vendor making orly taxable supplies
TF always utilises any possibie legislative elections that would logaly minimise ins overall tax labilify TF always ubises any possible legisli during any given year of assessment.
The following is a draft statement of proffi or loss and other comprehersive riceme tor the finarcial The followios year:
tableNotes,
Step by Step Solution
There are 3 Steps involved in it
1 Expert Approved Answer
Step: 1 Unlock
Question Has Been Solved by an Expert!
Get step-by-step solutions from verified subject matter experts
Step: 2 Unlock
Step: 3 Unlock
