Question: Question 1: (a) Complete the table below given f (x) = V6-I-3 Round your answers to four decimal places. -3.1 -3.01 -3.001 -2.999 2.99 -2.9




Question 1:










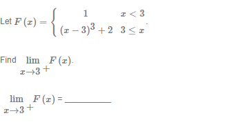
(a) Complete the table below given f (x) = V6-I-3 Round your answers to four decimal places. -3.1 -3.01 -3.001 -2.999 2.99 -2.9 (b) Estimate lim V6-1-3 Enter your answer to the nearest integer. lim I+- 6-1-3Note: This problem has an example student explanation in the Feedback. sin (51) (a) Complete the table below given f (I) = I Round your answers to six decimal places. I -0.1 -0.01 0.001 0.001 0.01 0.1 f sin (51) (b) Estimate lim Enter your answer to the nearest integer. sin (5r) limFind lim (12 +9) 1/3 lim (22 +9) 1/3 Show your work and explain, in your own words, how you arrived at your answer. There are sample student explanations in the feedback to questions 2, 4, 6, and 8 that show the level of detail that is expected in your explanations.Note: This problem has an example student explanation in the Feedback. Let F (:) Then lim F(3) =_\fNote: This problem has an example student explanation in the Feedback. Find im lim |z+3 T-3Evaluate the following limit. Enter the exact answer. To enter va, type sqrt(a). lim VI+7-V7 I Hint: You may want to rationalize this function by multiplying both the numerator and the denominator by vi + 7 + v7. Show your work and explain, in your own words, how you arrived at your answer. There are sample student explanations in the feedback to questions 2, 4, 6, and 8 that show the level of detail that is expected in your explanations.Note: This problem has an example student explanation in the Feedback. Evaluate the following limit. Enter an exact answer. I 2 _81 limEvaluate the following limit. Enter the exact answer. To enter va, type sqrt(a). VC+3-2 lim I-1 Hint: You may want to rationalize this function by multiplying both the numerator and the denominator by vi + 3 + 2.Use the Squeeze Theorem to find lim f (x), given that 3 - (x - 2|
Step by Step Solution
There are 3 Steps involved in it
Get step-by-step solutions from verified subject matter experts
