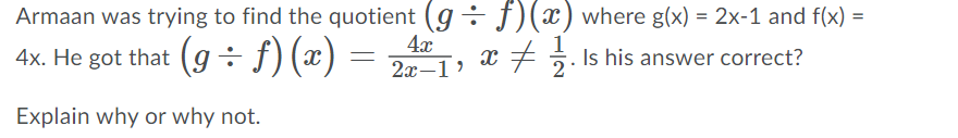
Question: question 1 Armaan was trying to find the quotient (g : f) () where g(x) = 2x-1 and f(x) = 4x. He got that (g
question 1


Armaan was trying to find the quotient (g : f) () where g(x) = 2x-1 and f(x) = 4x. He got that (g : f ) (x) = 4x 2x-1, x7 . Is his answer correct? Explain why or why not.
Step by Step Solution
There are 3 Steps involved in it
Get step-by-step solutions from verified subject matter experts
