Question: Question 1 .Consider a spherical rubber balloon with an uninflated radius R. The internal air pressure p to inflate the balloon as a function of
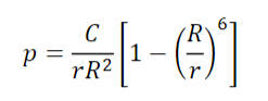
Question 1 .Consider a spherical rubber balloon with an uninflated radius R. The internal air pressure p to inflate the balloon as a function of the radius r is given by the pressure curve:


6 P = 1 rR2x - 2)2 = In
Step by Step Solution
There are 3 Steps involved in it
Get step-by-step solutions from verified subject matter experts
