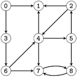
Question: QUESTION 1: dont copy paste please just answer the question given the directed graph G = (V,E) shown above and assume that the adjacency lists
QUESTION 1: dont copy paste please just answer the question

given the directed graph G = (V,E) shown above and assume that the adjacency lists for all vertices are sorted by increasing vertex indices , answer the following
Q1: Solve the BFS (Breadth first search) --> (G, 0) starting with source 0. Show the Queue after each step. Show also d[], p[] lists and BFS tree.
solve as follows :
| vertices name | vertices name | vertices name | vertices name | vertices name |
| 0 | ||||
| -------- |
p[] is parent(precedecssor)
d[] is source or vertix value
show your work with queue dequeue
0 1 2 3 4 5 6 7 8
Step by Step Solution
There are 3 Steps involved in it
Get step-by-step solutions from verified subject matter experts
