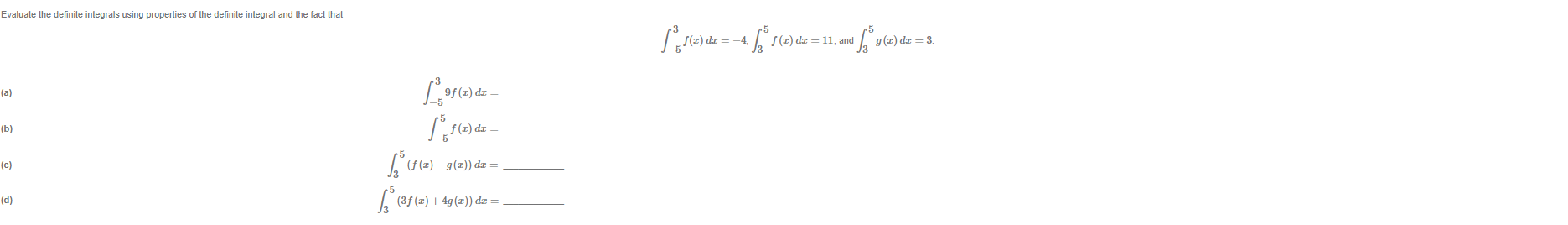
Question: Question 1: Evaluate the definite integrals using properties of the definite integral and the fact that [ s(= ) de = - 4./ 2 1




Question 1:




Evaluate the definite integrals using properties of the definite integral and the fact that [" s(= ) de = - 4./ 2 1 (=) de = 11, and [ (2) dz = 3. 13 ( 1 (2) - 9(2) d2 = 13 (31 ( 2 ) + 4g ( 2 ) da =\fBelow is the graph of y = 12 + 5. 20- 15 10- -3 -2 -1 3 The area bounded by y = 12 + 5 and the zaxis from I = -2 to I = 3 isEvaluzne 1116 :4 , 4 :3 +3 :2 dz. Round your alumni In mo minim plum. f115x4dz34-3x2 dz
Step by Step Solution
There are 3 Steps involved in it
Get step-by-step solutions from verified subject matter experts
