Question: QUESTION 1: Evaluate the following integrals 20. Y dy

20. Y dyimage text in transcribedimage text in transcribedimage text in transcribedimage text in transcribed

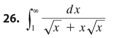
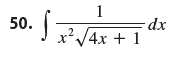
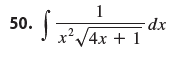
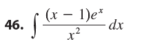
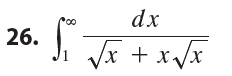
QUESTION 1: Evaluate the following integrals

image text in transcribedimage text in transcribedimage text in transcribedimage text in transcribedimage text in transcribed

20. Y dy

Step by Step Solution

There are 3 Steps involved in it

1 Expert Approved Answer
Step: 1 Unlock blur-text-image
Question Has Been Solved by an Expert!

Get step-by-step solutions from verified subject matter experts

Step: 2 Unlock
Step: 3 Unlock

Students Have Also Explored These Related Mathematics Questions!