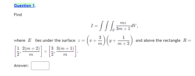
Question: Question 1. Find I = dV, E 3m + 1 1 where E lies under the surface = = (x + ( u + and


Question 1. Find I = dV, E 3m + 1 1 where E lies under the surface = = (x + ( u + and above the rectangle R = m + 2 1 2(m + 2) 3 3(m + 1) X
Step by Step Solution
There are 3 Steps involved in it
Get step-by-step solutions from verified subject matter experts
