Question: Question 1: Let A = {2, 4, 5, 8, 9, 10} and B = {4, 5, 9}. Indicate if each statement is true or false.


















Question 1:


















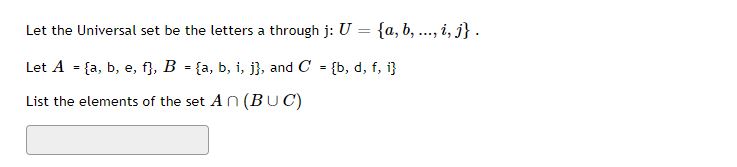
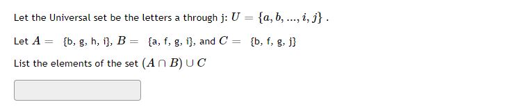
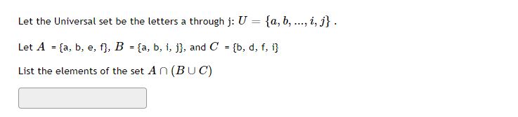
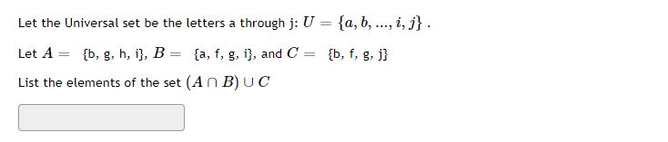
Let A = {2, 4, 5, 8, 9, 10} and B = {4, 5, 9}. Indicate if each statement is true or false. 10 c A Select an answer v B C A Select an answer vA survey was given asking whether they watch movies at home from Netflix, Redbox, or a video store. Use the results to determine how many people use Redbox. 51 only use Netflix 49 only use Redbox 14 only use a video store 16 use only a video store and Redbox 43 use only Netflix and Redbox 38 use only a video store and Netflix 12 use all three 30 use none of these people used Redbox.Suppose Set A contains 13 elements and Set B contains 41 elements. If Sets A and B have 12 elements in common, what is the total number elements in either Set A or Set B. Answer = elementsSuppose Albers Elementary School has 80 teachers and Bothel Elementary School has 68 teachers. If 39 teachers teach at both Albers and Bothel, compute the total number of teachers employed at Albers and Bothel combined. Answer = teachersIn the last several weeks, 16 days saw rain and 73 days saw high winds. In that same time period, 75 days saw either rain or high winds. How many days saw both rain and high winds? Answer = daysIn a loan database, there are 93 loans to clients with 18 years of business experience. Also, there are 96 loans made to clients with a High School education. In the database there are 183 loans to clients with 18 years of experience or who have a High School education. How many loans were made to clients with a High School education who also had 18 years of experience? Answer = loansLet the Universal Set, 5, have 134 elements. A and B are subsets of S. Set A contains 50 elements and Set B contains 76 elements. If Sets A and B have 18 elements in common, how many elements are in B but not in A? Answer = elementsIn a survey of 147 pet owners, 57 said they own a dog, and 77 said they own a cat. 19 said they own both a dog and a cat. How many owned neither a cat nor a dog? Answer = ownersIn a survey of #28 pet owners, 86 said they.r own a dog, and 34 said they own a cat. 3D said they.r own both a dog and a cat? How manyr owned a dog but not a cat? nswer = I owners In a survey of 56 pet owners, 22 Said theyr own a dog, and 25 said they own a cat. 14 said they awn both a dog and a cat. How manyr owned a cat but not a dag? Let S be the universal set, where: S = {1, 2, 3, ..., 13,19, 2U} Let sets A and B be subsets of S, where: Set A = {1,2,5, 7, ll, 14,13, 19, 2D} Set B = {2, 3, 5, ti, T, ll], 11, 12, 13, 14, 15, 15, 19} Find the following: LIST the elements in the set {A U i : (A u a} = i } Enter the elements as a list, separated by commas. If the result is the empty set, enter DHE LIST the elements in the set A ("I 1" : ,. n m = } Enter the elements as a list, separated by commas. If the result is the empty set, enter DNE You mayr want to draw a 'ul'enn Diagram to help answer this question. Let S be the universal set, where: S = {1, 2, 3, 13, 19, 211} Let sets A and B be subsets of S, where: Set A = {3, s, 11, 1, 3, 14,11, 13, 19, so} Set B = {1,2,3,s,1u,12,14,1,2u} Find the following: The number of elements in the set A U B]: \"(A u a) = The number of elements in the set A F] B}: \"(A n B} is You may.r want to draw a Venn Diagram to help answer this question. Let S be the universal set, where: 5' = {1, 2, 3, ..., 13,19, 2U} Let sets A and B be subsets of S, where: Set A = {4, ti, T,13, 14,19, 2H} Set B = {1, 2, 3, 5, 3, ll], 11, 12, 17, 13, 1'9, 20} Find the following: LIST the elements in the set {A n 36}: {MWE Enter the elements as a list, separated by commas. If the result is the empty set, enter DNE LIST the elements in the set E Fl Ac}: {3 m A\") = _} Enter the elements as a list, separated by commas. If the result is the emptyr set, enter DNE 'r'ou may.r want to draw a item Diagram to help answer this question. Let S be the universal set, where: .3 = {1, 2, 3, 23, 23,33} Let sets A and B be subsets of S, where: Set A = {1, 3, 17, 21, 23, 27, 23} Set B = {3, 12, 13, 23, 23} Set 0 = {1, 3,3,13,22, 23} LIST the elemenu in the set {A U B U U} {m_ Enter the elements as a list, separated by commas. If the result is the empty set, enter DNE LIST the elements in the set {A [l B H U} {m_ Enter the elements as a list, separated by commas. If the result is the empty set, enter DHE You ma}.r want to draw a 'ul'enn Diagram to help answer this question. Let the Universal set be the letters a through j: U = {a, b, ..., i, j} . Let A = {a, b, e, f], B = {a, b, i, j}, and C' = [b, d, f, {} List the elements of the set An (B UC)Let the Universal set he the letters a through j: H = {(1, b, ..., i, j} . Let A = {h, g, h, i}, B = {as f, g. i}. and U = {by f, e. 5:} List the elements of the set (A ['1 B] U U :1 Let S be the universal set, where: S = {1, 2, 2, 22, 24, 25} Let sets A and B be subsets of S, where: Set A = {2,4,11,14,15,17,12,12,2u,24} Set B = {1,113,141, 11,15,1,13,21,22,22,24} Set 4': = {1, 2, 2, 4, 2, 11, 14, 17, 22, 22, 24} Find the number not elements in the set [A [l C] [l B": 4mm You may.r want to draw a Venn Diagram to help answer this question. The Venn diagram here shows the cardinality of each set. Use this to find the cardinality of each given set. A B 12 10 Co C 6 n(A) = n(An C) = "(AnBno") =
Step by Step Solution
There are 3 Steps involved in it
Get step-by-step solutions from verified subject matter experts
