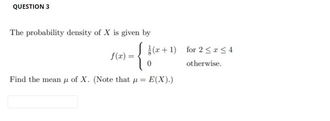
Question: QUESTION 1 Let X be a. discrete random variable with the following probability distribution: p(x=m=, P(X=1)=P(X=6)=%, P(X=2)=P(X=5)=, P(X=3)=P(X=4)=;: Find E(X). QUESTION 2 Two coins are






QUESTION 1 Let X be a. discrete random variable with the following probability distribution: p(x=m=, P(X=1)=P(X=6)=%, P(X=2)=P(X=5)=, P(X=3)=P(X=4)=;: Find E(X). QUESTION 2 Two coins are tossed. The first coin has a probability of 0.6 that it will land on heads, and the second coin has a probability of 0.7 that it will land on heads. Let X be the total number of heads. Compute E(X).QUESTION 3 The probability density of X is given by (x + 1) for 2
Step by Step Solution
There are 3 Steps involved in it
Get step-by-step solutions from verified subject matter experts
