Question: Question ? {1 point] The following expression that is equivalent to log (75mg) is O a} log (25) + log (3mg) 0 b} log (75)
![Question ? {1 point] The following expression that is equivalent to](https://s3.amazonaws.com/si.experts.images/answers/2024/07/6687abf70a1d7_4146687abf6e65e8.jpg)






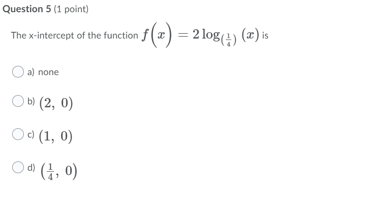
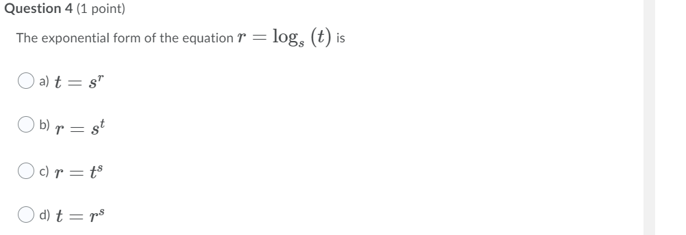
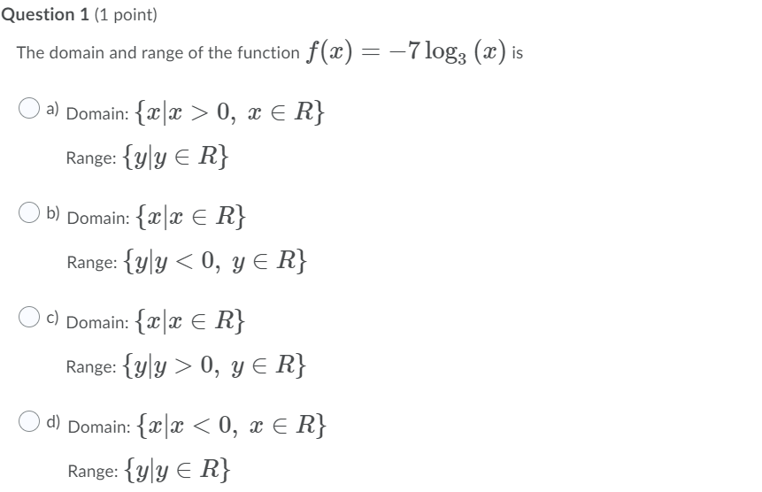
Question ? {1 point] The following expression that is equivalent to log (75mg) is O a} log (25) + log (3mg) 0 b} log (75) 109; (my) 0 '3 %10g(25) + log (3:33;) 0 d} log (303m) +10g(45) Question 6 (1 point) The number of bees in a colony is modelled by the equation Md) = 120(1.14)d where Md) represents the number of bees and d represents the number of days from now. The number of full days it will take for there to be at least 200 bees is AJ days.Question 5 (1 point) he function f (2 ) = 2log(4) (2) is a) none O b) (2, 0) O c) (1, 0 ) O d (1, 0)Question 4 (1 point) The exponential form of the equation r = logs (t) is Oat = s Obr = st Odr = ts Od t = psQuestion 3 (1 point) Order the logarithmic expressions below from least to greatest. v log (9) + 1083 27 v log, (1) - log7 (343) V log6 ( - 2log (1000)Question 2 (1 point) The expression 2 log, (6) - log, (576) simplifies to the form log A ( ). The value of A is A/ The value of B is A/ The value of C isQuestion 1 (1 point) The domain and range of the function f (ac ) = -7log; (ac ) is O a) Domain: { ac |a > 0, x ( R} Range: {yly ER} O b) Domain: {a x E R} Range: Lyly 0, y ER} d) Domain: Lac ac
Step by Step Solution
There are 3 Steps involved in it
Get step-by-step solutions from verified subject matter experts
