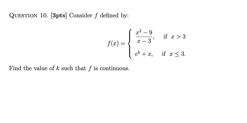
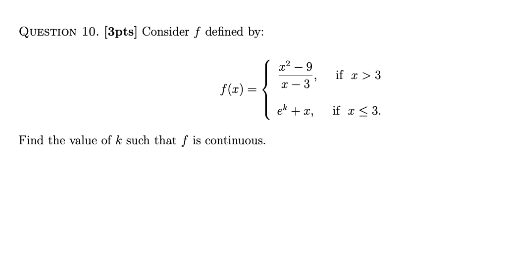
Question: QUESTION 10. [3pts] Consider f defined by: x2 - 9 if x > 3 f (x) = x - 3 ek + , if x
![QUESTION 10. [3pts] Consider f defined by: x2 - 9 if](https://s3.amazonaws.com/si.experts.images/answers/2024/06/667bd9e66ac48_742667bd9e651f07.jpg)

QUESTION 10. [3pts] Consider f defined by: x2 - 9 if x > 3 f (x) = x - 3 ek + , if x
Step by Step Solution
There are 3 Steps involved in it
1 Expert Approved Answer
Step: 1 Unlock
Question Has Been Solved by an Expert!
Get step-by-step solutions from verified subject matter experts
Step: 2 Unlock
Step: 3 Unlock
