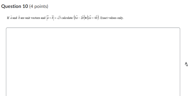
Question: Question 10 (4 points) If aand b are unit vectors and a + b = v3 calculate (30 - 26). (20 + 46). Exact values








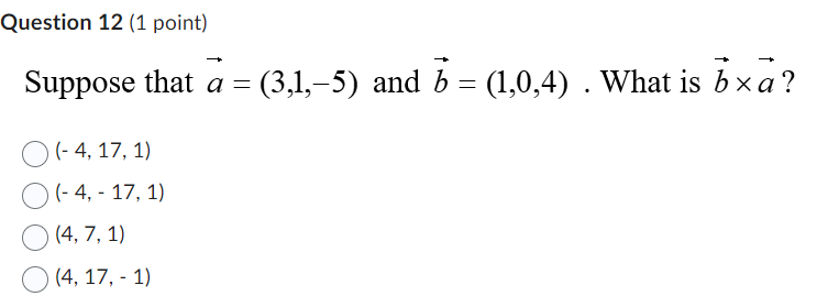
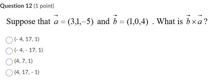
Question 10 (4 points) If aand b are unit vectors and a + b = v3 calculate (30 - 26). (20 + 46). Exact values only. AQuestion 12 (1 point) -+ -+ Suppose that a = (3,1,-5) and b = (1,0,4) . What is bxa? O (- 4, 17, 1) O (- 4, - 17, 1) (4, 7, 1) O (4, 17, - 1)Question 13 (1 point) A force vector has a magnitude of 23 N and makes an angle of 35 degrees with the x-axis. What is the magnitude of its vertical component? O 23.05 N 40.10 N O 18.84 N O 13.19 NQuestion 11 (1 point) A 75 N force is applied at the end of a wrench that is 20 cm long. The force makes an angle of 500 with the wrench. What is the magnitude of the torque about the point of rotation? 11.5 J (9.6J 960 J O 1150 J
Step by Step Solution
There are 3 Steps involved in it
Get step-by-step solutions from verified subject matter experts
