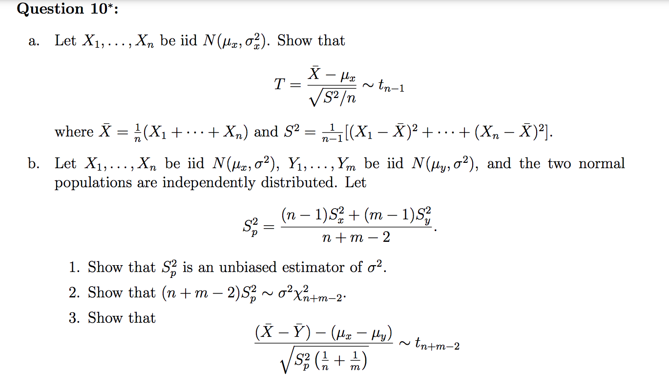
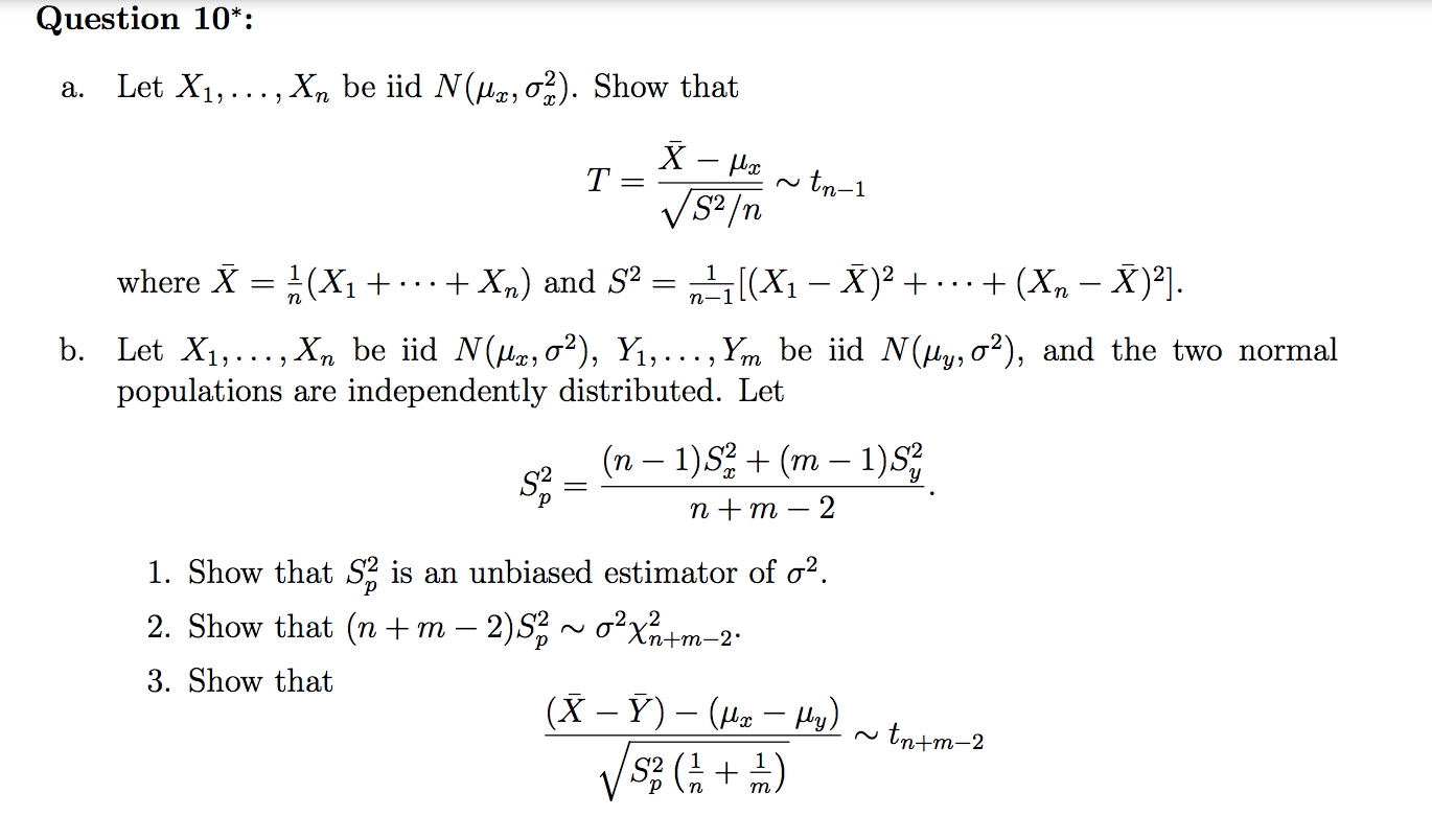
Question: Question 10*: a. Let X1, . . ., Xn be iid N(ux, 02). Show that T = X - HI ~ tn- 1 VS2 where


Question 10*: a. Let X1, . . ., Xn be iid N(ux, 02). Show that T = X - HI ~ tn- 1 VS2 where X = !(X1+ . . . + Xn) and $2 = ,4,[(X1 - X)2 + ... + (Xn - X) 2]. b. Let X1, ..., Xn be iid N(x, 02), Yl, ..., Ym be iid N(My, 02), and the two normal populations are independently distributed. Let $2 (n - 1)S2 + (m -1)s2 n t m - 2 1. Show that S2 is an unbiased estimator of o2. 2. Show that (n +m -2)S, ~ Xntm-2. 3. Show that ( X - Y ) - (x - My) ~ Entm- 2 VS3 ( it m )
Step by Step Solution
There are 3 Steps involved in it
Get step-by-step solutions from verified subject matter experts
