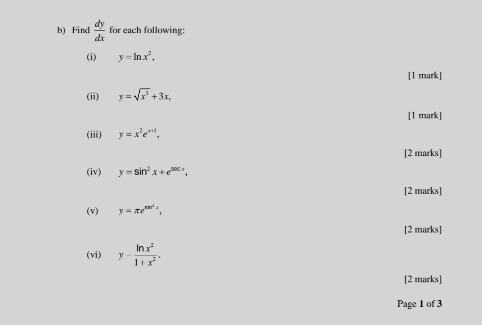
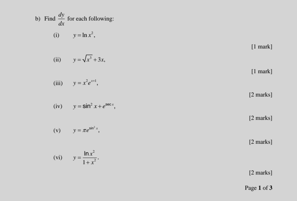
Question: question 1b please answer this question b) Find ay for each following: dx (i) y = Inx, [1 mark] (ii) y = Vx' + 3x,

question 1b please answer this question
![following: dx (i) y = Inx, [1 mark] (ii) y = Vx'](https://s3.amazonaws.com/si.experts.images/answers/2024/06/6668da26217cb_6226668da2610f0b.jpg)
b) Find ay for each following: dx (i) y = Inx, [1 mark] (ii) y = Vx' + 3x, [1 mark] (iii) y = xet, [2 marks] (iv) y = sin x+ esecx [2 marks] ( V ) y = mesin* x [2 marks] In x2 (vi) y = [2 marks] Page 1 of 3
Step by Step Solution
There are 3 Steps involved in it
Get step-by-step solutions from verified subject matter experts
