Question: Question 2: (20 points) Compute the 95% confidence interval for the autocorrelation coefficient for time lag 1 for a series that contains 80 terms, following
Question 2: (20 points)
Compute the 95% confidence interval for the autocorrelation coefficient for time lag 1 for a series that contains 80 terms, following these steps:
- Find sample size, n
- Find the critical value for two-tailed test of 95% confidence interval by Z-table
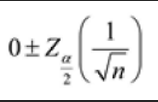
- Calculate the confidence interval for the autocorrelation coefficient for time lag 1 by below formula:

- Answer:
0Z n 2
Step by Step Solution
There are 3 Steps involved in it
Get step-by-step solutions from verified subject matter experts
