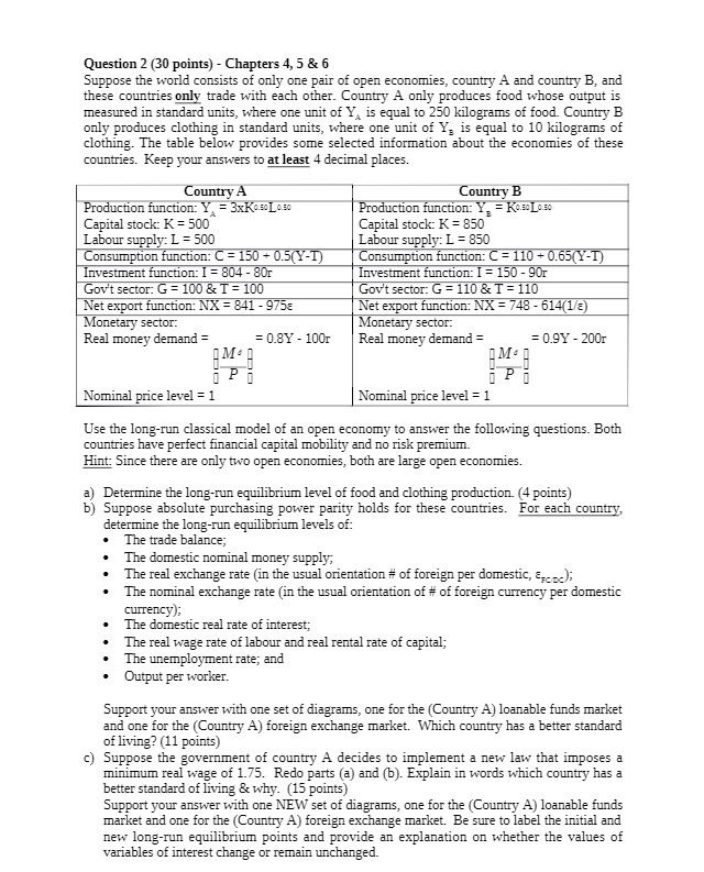
Question: Question 2 (30 points) - Chapters 4, 5 & 6 Suppose the world consists of only one pair of open economies, country A and country

Question 2 (30 points) - Chapters 4, 5 & 6 Suppose the world consists of only one pair of open economies, country A and country B, and these countries only trade with each other. Country A only produces food whose output is measured in standard units, where one unit of Y, is equal to 250 kilograms of food. Country B only produces clothing in standard units, where one unit of Y, is equal to 10 kilograms of clothing. The table below provides some selected information about the economies of these countries. Keep your answers to at least 4 decimal places. Country A Country B Production function: Y = 3xKQ.30L 0.50 Production function: Y. = Ko.30Lo.30 Capital stock: K = 500 Capital stock: K = 850 Labour supply: L = 500 Labour supply: L = 850 Consumption function: C = 150 + 0.5(Y-T) Consumption function: C = 110 + 0.65(Y-T) Investment function: I = 804 - 80r Investment function: I = 150 - 90r Gov't sector: G = 100 & T = 100 Gov't sector: G = 110 & T = 110 Net export function: NX = 841 - 975 Net export function: NX = 748 - 614(1/=) Monetary sector: Monetary sector: Real money demand = = 0.8Y - 100r Real money demand = =0.9Y - 200r OM . A iPi P Nominal price level = 1 Nominal price level = 1 Use the long-run classical model of an open economy to answer the following questions. Both countries have perfect financial capital mobility and no risk premium Hint: Since there are only two open economies, both are large open economies. a) Determine the long-run equilibrium level of food and clothing production. (4 points) Suppose absolute purchasing power parity holds for these countries. For each country, determine the long-run equilibrium levels of: The trade balance; The domestic nominal money supply; The real exchange rate (in the usual orientation # of foreign per domestic, -.); The nominal exchange rate (in the usual orientation of # of foreign currency per domestic currency); The domestic real rate of interest; The real wage rate of labour and real rental rate of capital; The unemployment rate; and Output per worker. Support your answer with one set of diagrams, one for the (Country A) loanable funds market and one for the (Country A) foreign exchange market. Which country has a better standard of living? (11 points) c) Suppose the government of country A decides to implement a new law that imposes a minimum real wage of 1.75. Redo parts (a) and (b). Explain in words which country has a better standard of living & why. (15 points) Support your answer with one NEW set of diagrams, one for the (Country A) loanable funds market and one for the (Country A) foreign exchange market. Be sure to label the initial and new long-run equilibrium points and provide an explanation on whether the values of variables of interest change or remain unchanged
Step by Step Solution
There are 3 Steps involved in it
Get step-by-step solutions from verified subject matter experts
