Question: Question 2 (6 marks) (a) Compute the following: 3 marks 3 4 (ij + 2j) i=0 j=i (b) Solve for x. (Hint: Solve for x2

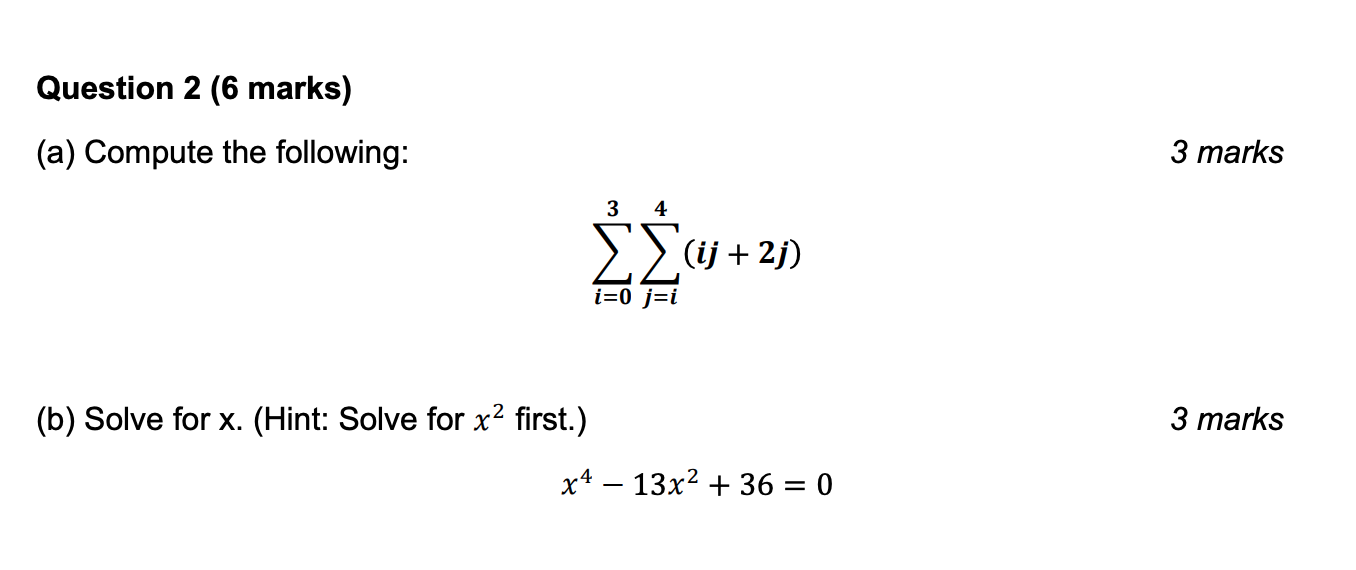
Question 2 (6 marks) (a) Compute the following: 3 marks 3 4 (ij + 2j) i=0 j=i (b) Solve for x. (Hint: Solve for x2 first.) 3 marks x4 - 13x2 + 36 = 0
Step by Step Solution
There are 3 Steps involved in it
Get step-by-step solutions from verified subject matter experts
