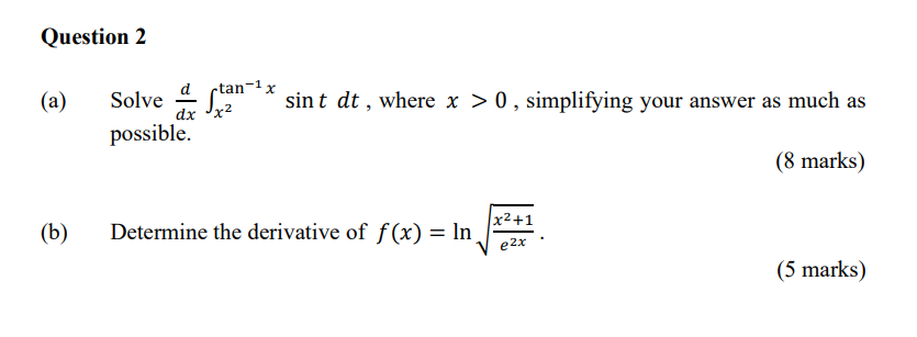
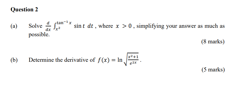
Question: Question 2 (a) Solve a tan 1 x dx Jx2 sint dt , where x > 0 , simplifying your answer as much as possible.




Question 2 (a) Solve a tan 1 x dx Jx2 sint dt , where x > 0 , simplifying your answer as much as possible. (8 marks) (b) Determine the derivative of f(x) = In x-+1 e2x (5 marks)Question 1 Using various techniques of integration: 1 (a) Evaluate S dx . 1+ 2ex - e-x (10 marks) (b) Determine the exact value of e3* cos 2x dx . (10 marks) 1 (c) Evaluate J dx . V8x - X4- 7 (10 marks)
Step by Step Solution
There are 3 Steps involved in it
Get step-by-step solutions from verified subject matter experts
