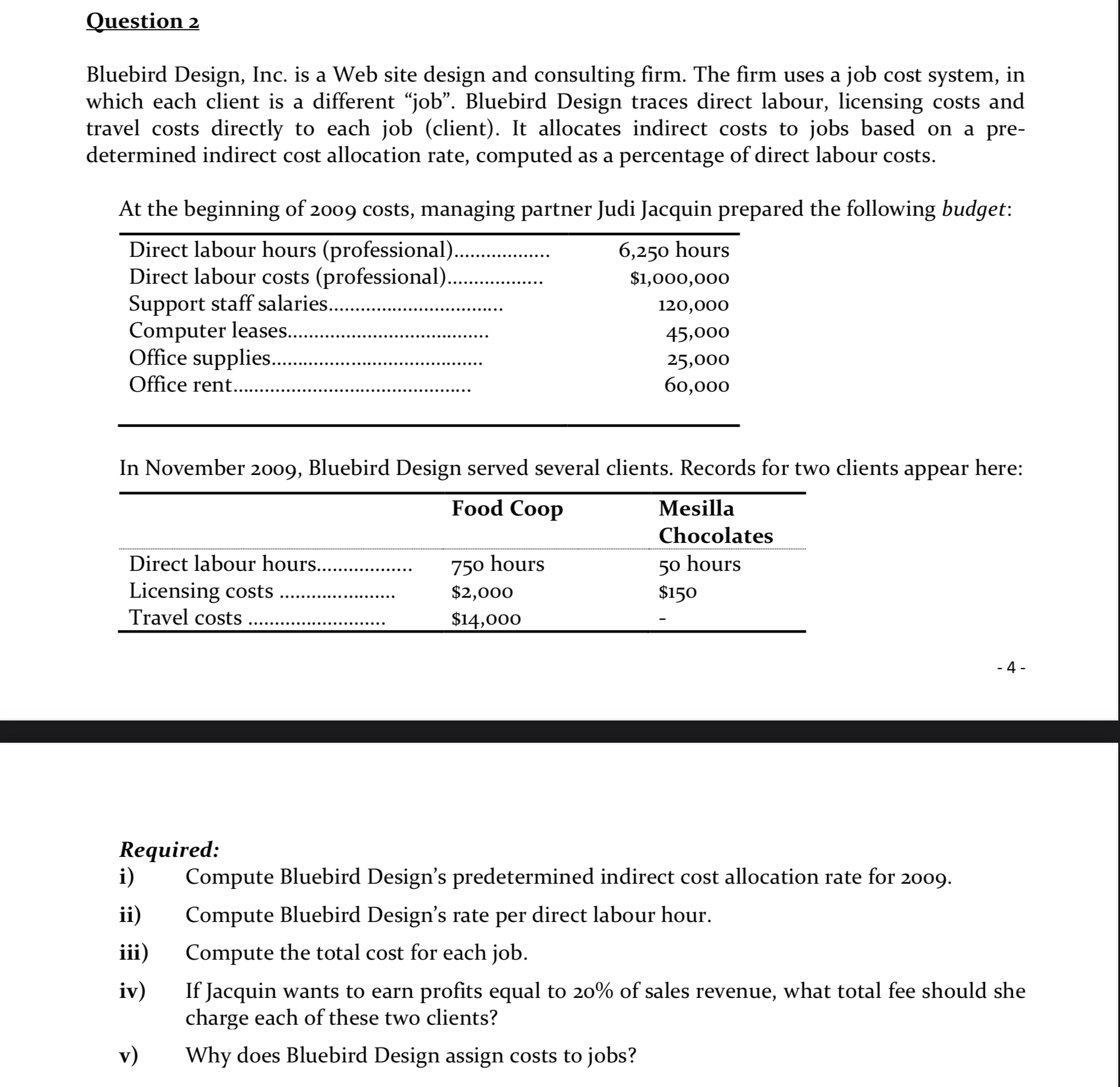
Question: Question 2 Bluebird Design, Inc. is a Web site design and consulting firm. The firm uses a job cost system, in which each client is
Question
Bluebird Design, Inc. is a Web site design and consulting firm. The firm uses a job cost system, in which each client is a different "job". Bluebird Design traces direct labour, licensing costs and travel costs directly to each job client It allocates indirect costs to jobs based on a predetermined indirect cost allocation rate, computed as a percentage of direct labour costs.
At the beginning of costs, managing partner Judi Jacquin prepared the following budget:
tableDirect labour hours professional hoursDirect labour costs professional$
Step by Step Solution
There are 3 Steps involved in it
1 Expert Approved Answer
Step: 1 Unlock
Question Has Been Solved by an Expert!
Get step-by-step solutions from verified subject matter experts
Step: 2 Unlock
Step: 3 Unlock
