Question: Question 2 of 12 Question 2 of 12 View Policies Show Attempt History Current Attempt in Progress X Incorrect. Calculate NO(E), the density of occupied


Question 2 of 12
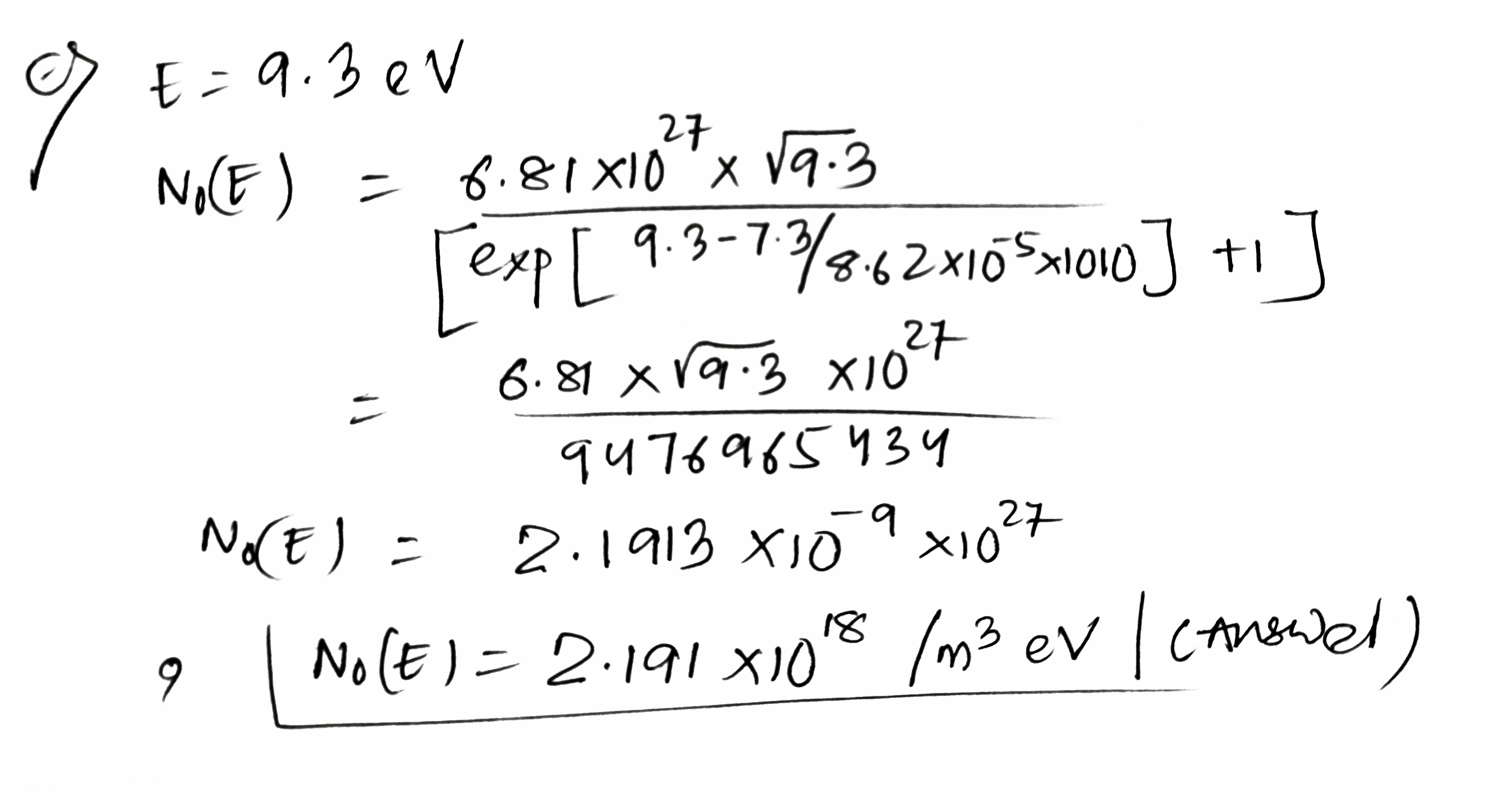
Question 2 of 12 View Policies Show Attempt History Current Attempt in Progress X Incorrect. Calculate NO(E), the density of occupied states for a metal with a Fermi energy of 7.30 eV and at a temperature of 1010 K for an energy E of (a) 5.30 ev, (b) 7.05 ev, (c) 7.30 ev, (d) 7.55 ev, and (e) 9.30 eV. (a) (b) (c) (d) Number Number Number Number Number
Step by Step Solution
There are 3 Steps involved in it
Get step-by-step solutions from verified subject matter experts
