Question: Question 2 please 1. Modify the function NewtonRoot that is reviewed in Lecture #4, such that the input will have three arguments. Name the function
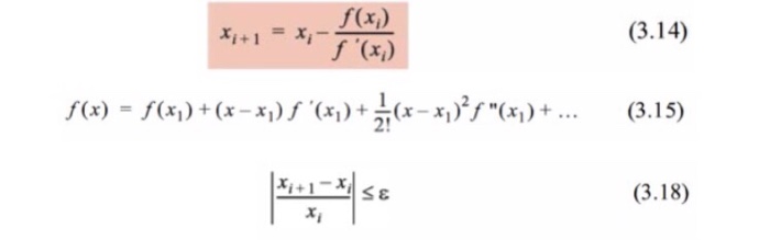
1. Modify the function NewtonRoot that is reviewed in Lecture #4, such that the input will have three arguments. Name the function Xs NewtonSol(Fun, FunDer, Xest). The output argument Xs is the solution, and the input arguments Fun, FunDer,and Xest are the same as in NewtonRoot. The iterations should stop when the estimated relative emor (Lecture #4 Eq. (3.18) is smaller than 106. The number of iterations should be limited to 100 (to avoid an infinite loop). If a solution with the required accuracy is not obtained in 100 iterations, the program should stop and display an emor message. Use the function NewtonSol to solve the equation 8-4.5(x-sinx) 0. 2. The operation of Resistance Temperature Detector (RTD) is based on the fact that the electrical resistance of the detector material changes with temperature. For Nickel which is sometimes used in such detectors, the resistance, RT, at temperature C) as a function of temperature is given by: RT Ro(1+AT+BT +CT +DT Where Ro is the resistance of the detector at 0C and A 5.485 10 s, B 6.65 106, C 2.805 10 11, and D 2 10 are constants. Consider a detector with Ro 1000S2 and determine the temperature when its resistance is 300 Q. Use the user-defined function Newtonsol which you wrote in Problem 1. 1. Modify the function NewtonRoot that is reviewed in Lecture #4, such that the input will have three arguments. Name the function Xs NewtonSol(Fun, FunDer, Xest). The output argument Xs is the solution, and the input arguments Fun, FunDer,and Xest are the same as in NewtonRoot. The iterations should stop when the estimated relative emor (Lecture #4 Eq. (3.18) is smaller than 106. The number of iterations should be limited to 100 (to avoid an infinite loop). If a solution with the required accuracy is not obtained in 100 iterations, the program should stop and display an emor message. Use the function NewtonSol to solve the equation 8-4.5(x-sinx) 0. 2. The operation of Resistance Temperature Detector (RTD) is based on the fact that the electrical resistance of the detector material changes with temperature. For Nickel which is sometimes used in such detectors, the resistance, RT, at temperature C) as a function of temperature is given by: RT Ro(1+AT+BT +CT +DT Where Ro is the resistance of the detector at 0C and A 5.485 10 s, B 6.65 106, C 2.805 10 11, and D 2 10 are constants. Consider a detector with Ro 1000S2 and determine the temperature when its resistance is 300 Q. Use the user-defined function Newtonsol which you wrote in Problem 1
Step by Step Solution
There are 3 Steps involved in it
Get step-by-step solutions from verified subject matter experts
