Question: QUESTION 2 [TOTAL MARKS: 25) Q 2(a) [6 Marks] Clancy plc is considering two major projects. The first is to expand production at his existing
![QUESTION 2 [TOTAL MARKS: 25) Q 2(a) [6 Marks] Clancy plc](https://dsd5zvtm8ll6.cloudfront.net/si.experts.images/questions/2024/10/670389c3c10d1_123670389c323bd2.jpg)


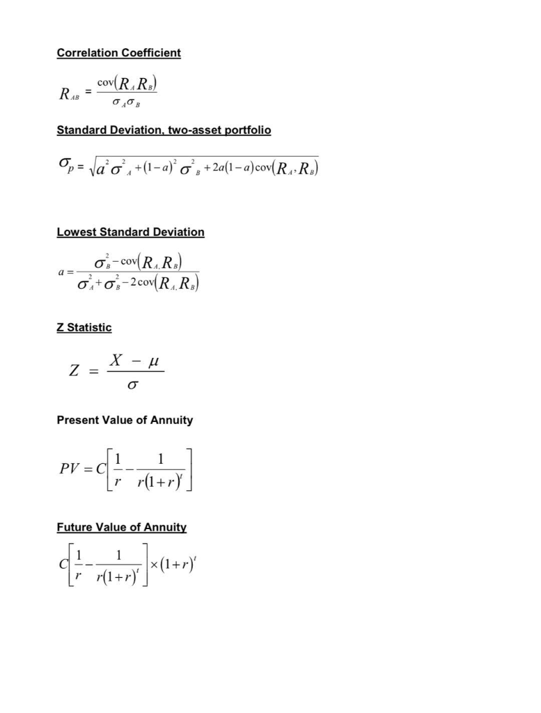
QUESTION 2 [TOTAL MARKS: 25) Q 2(a) [6 Marks] Clancy plc is considering two major projects. The first is to expand production at his existing plant in Co. Limerick. The second is to start production in Australia. The returns in terms of internal rates of return depend on world economic growth. There are as follows: World Growth IRR for Existing Plant % 20 IRR for Australia Project % Probability of Growth Occurring 0.3 0.4 0.3 High Medium Low 50 18 30 0 16 Required: Calculate the expected return and standard deviation of each project. Q2(b) [5 Marks] Calculate the covariance and the correlation coefficient between returns on the Co. Limerick project and the Australian project. Q 2(c) [6 Marks] An alternative to selecting one project or the other is to split the available investment between the two projects. Calculate the expected return and standard deviation if half of the funds were devoted to the Co. Limerick project and a half to the Australian project. Assume returns per euro invested remain constant regardless of the size of the investment. Q 2(d) [4 Marks] Explain the difference is between Covariance and Correlation coefficient. Q2(e) [4 Marks] Advise Clancy plc on which option they should choose. [End of Question 2] Correlation coefficient R = cov(R.R.) 003 Standard Deviation, two-asset portfolio A = a +(1-alo +2a(1-a)cos(RR) Lowest Standard Deviation o-cov( RR) oito-2 cov(R. R:) Z Statistic Z = X - 4 Present Value of Annuity Pv=cMoty Future Value of Annuity i 9 1_*(1+r)" r11+r)" APPENDICES Formulae NPV = C. + ( ) for IRR = LDR +_ LRNPV Npy *(HDR LDR) ARR = Average Annual Profit *100 Average Capital Invested CAPM = K = KRE+B(K.- KRP) Gordon's Growth Model Div, P =- r-g Standard Deviation o= (R-R) P Covariance cov(R.-R.) = (R.-R.)(R.-Ry) p}
Step by Step Solution
There are 3 Steps involved in it
Get step-by-step solutions from verified subject matter experts
