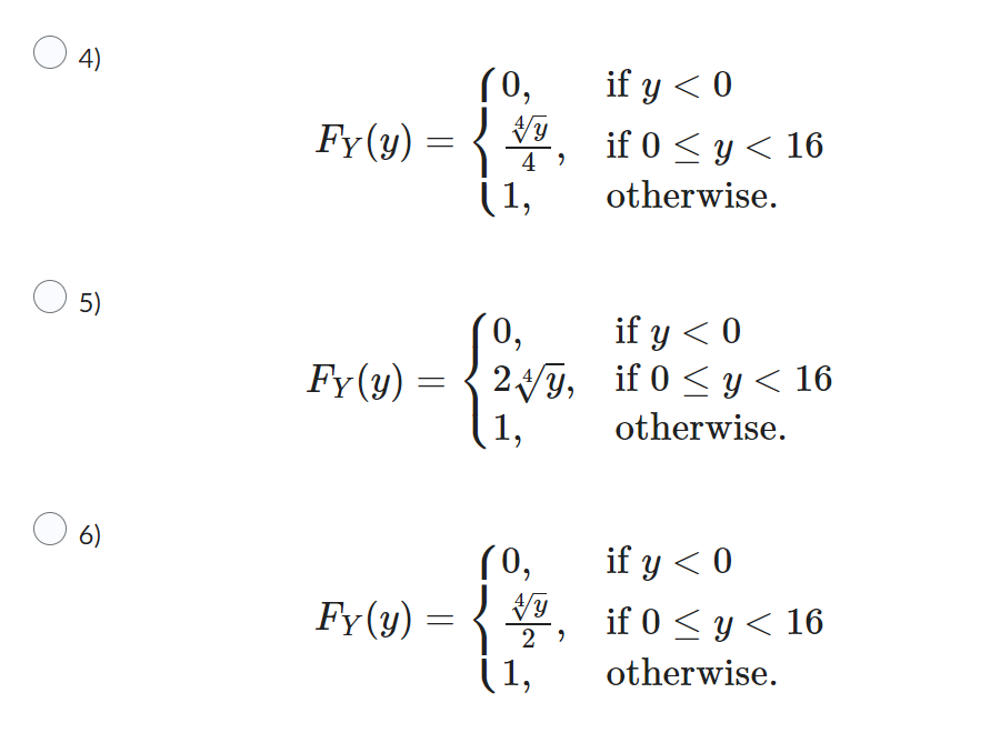
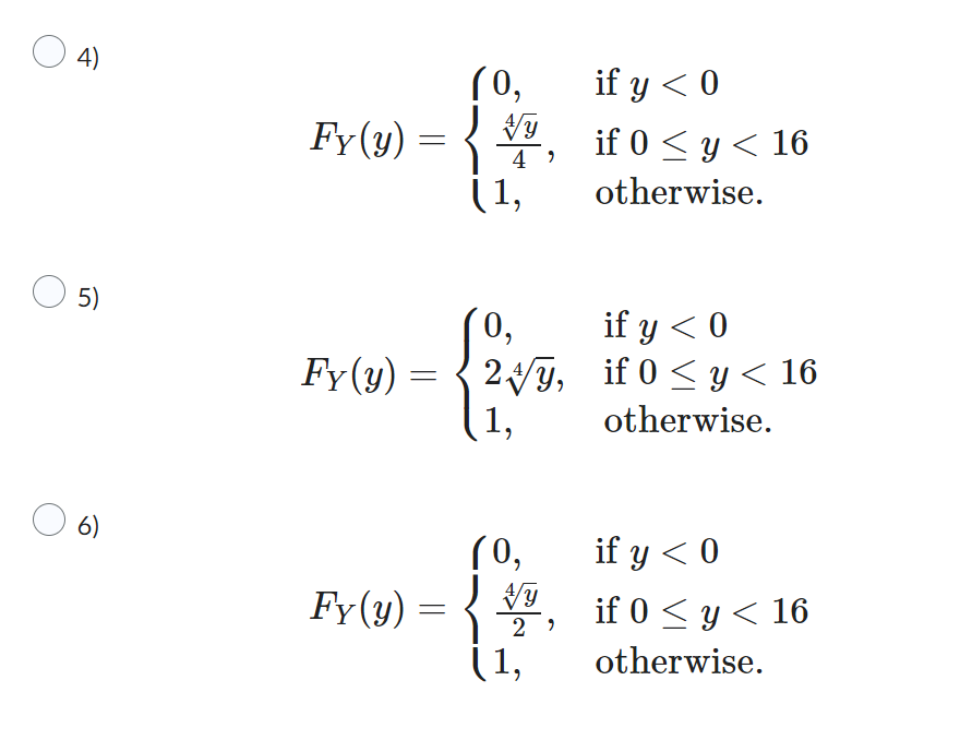
Question: Question 3 (1 point) The cumulative distribution function of a continuous random variable X is Fx (a) = 2' for 0




Question 3 (1 point) The cumulative distribution function of a continuous random variable X is Fx (a) = 2' for 0
Step by Step Solution
There are 3 Steps involved in it
Get step-by-step solutions from verified subject matter experts
