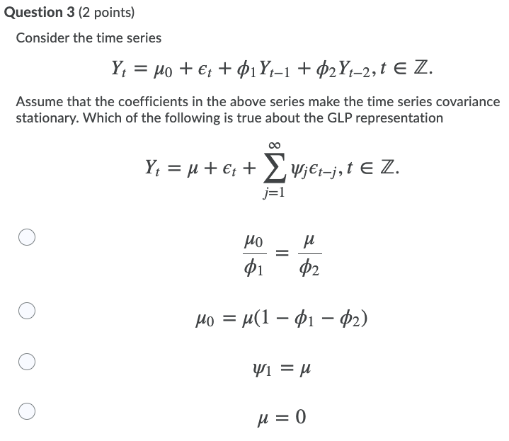
Question: Question 3 [2 points} Consider the time series Y; = #0 + 6'; + $112.1 + 2Y;_2,t E Z Assume that the coefficients in the

Question 3 [2 points} Consider the time series Y; = #0 + 6'; + $112.1 + 2Y;_2,t E Z Assume that the coefficients in the above series make the time series covariance stationary. Which of the following is true about the GLP representation Y; =+f+ 2%;_',IE Z. i=1 0 #0 it 55 #0 =#(1'1 '452) #11:\
Step by Step Solution
There are 3 Steps involved in it
Get step-by-step solutions from verified subject matter experts
