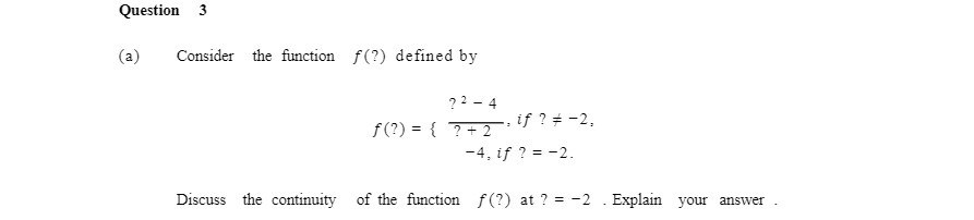
Question: Question 3 (a) Consider the function f(?) defined by 72 - 4 f (?) = 1 7+7 : 1 ? #-2. -4, if ? =

Step by Step Solution
There are 3 Steps involved in it
1 Expert Approved Answer
Step: 1 Unlock
Question Has Been Solved by an Expert!
Get step-by-step solutions from verified subject matter experts
Step: 2 Unlock
Step: 3 Unlock
