Question: Question 3 Find the two errors in the following argument purporting to prove the following version of Theorem 2.5.1. As always, an explanation is required.




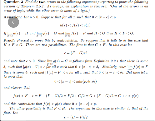
Question 3 Find the two errors in the following argument purporting to prove the following version of Theorem 2.5.1. As always, an explanation is required. (One of the errors is an error of logic, while the other error is more of a typo.) Assertion: Let p > 0. Suppose that for all a such that 0 0. Since lim g(x) = G it follows from Definition 2.2.1 that there is some 6, such that (g(x) - G| F -g(:) and this contradicts that f(x) 0 as before. Again using Definition 2.2.1 and lim h(x) = H there is some I+C 6, such that [h(x) - H|
Step by Step Solution
There are 3 Steps involved in it
Get step-by-step solutions from verified subject matter experts
