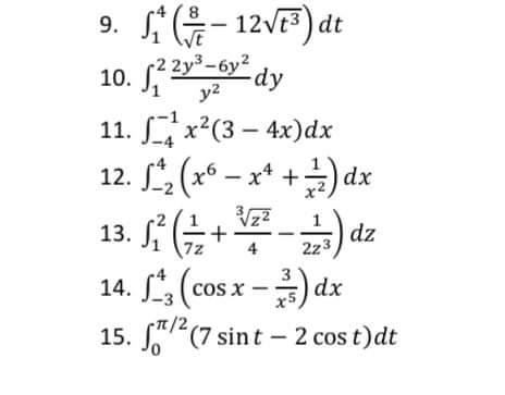
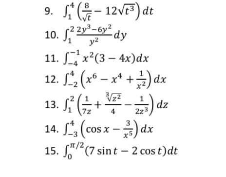
Question: QUESTION 3 What is the proper solution for these equations? Subject: Calculus 2 2Y3-6y2 10. fl dy 11. f--41 2 x (3 4x)dx 12. f-42(6

QUESTION 3
What is the proper solution for these equations?
Subject: Calculus

2 2Y3-6y2 10. fl dy 11. f--41 2 x (3 4x)dx 12. f-42(6 4 x x + z dx 13. ft dz 14. f-43 (cosx dx 15. f'/2(7 Sint 2 cos t)dt
Step by Step Solution
There are 3 Steps involved in it
Get step-by-step solutions from verified subject matter experts
