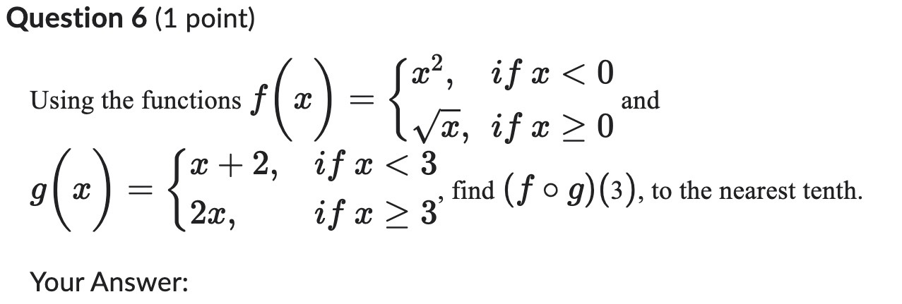
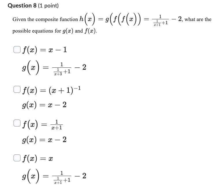
Question: Question 4 (1 point) Using the graph above, nd (9 O f) (2), to the nearest tenth. Your Answer: Question 6 (1 point) x2, ifx





Step by Step Solution
There are 3 Steps involved in it
Lets go through each question step by step Question 4 To find g circ f2 follow these steps 1 Identify f2 Look at the graph of fx For x 2 find the corr... View full answer
Get step-by-step solutions from verified subject matter experts
