Question: Question 4 . 6 Part A Bob Construction entered into an agreement with Animania Properties for the construction of a shopping centre in Johannesburg for
Question
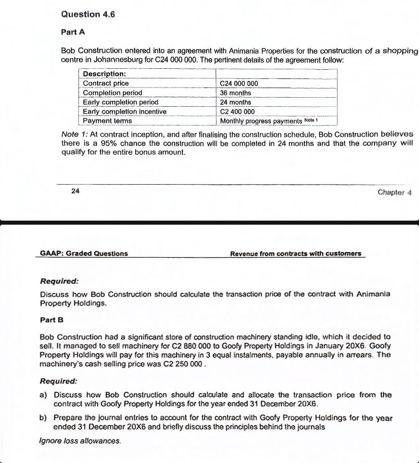
Part A
Bob Construction entered into an agreement with Animania Properties for the construction of a shopping centre in Johannesburg for C The pertinent delails of the agreement follow:
tableDescription:Contract price,CCompletion period, monthsEarly completion period, monthsEarly completion incentive,CPayment terms,Monthly progress payments Note
Note : At contract inception, and after finalising the construction schedule, Bob Construction believes there is a chance the construction will be completed in months and that the company will qualify for the entire bonus amount.
Chapter
GAAP: Graded Questions
Revenue from contracts with customers
Required:
Discuss how Bob Construction should calculate the transaction price of the contract with Animania Property Holdings.
Part B
Bob Construction had a significant store of construction machinery standing idle, which it decided to sell. It managed to sell machinery for C to Goofy Property Holdings in January X Goofy Property Holdings will pay for this machinery in equal instalments, payable annually in arrears. The machinery's cash selling price was C
Required:
a Discuss how Bob Construction should calculate and allocate the transaction price from the contract with Goofy Property Holdings for the year ended December X
b Prepare the journal entries to account for the contract with Goofy Property Holdings for the year ended December and briefly discuss the principles behind the journals
Ignore loss allowances.Question
Part A
Bob Construction entered into an agreement with Animania Properties for the construction of a shopping centre in Johannesburg for C The pertinent delails of the agreement follow:
tableDescription:Contract price,CCompletion period, monthsEarly completion period, monthsEarly completion incentive,CPayment terms,Monthly progress payments Note
Note : At contract inception, and after finalising the construction schedule, Bob Construction believes there is a chance the construction will be completed in months and that the company will qualify for the entire bonus amount.
Chapter
GAAP: Graded Questions
Revenue from contracts with customers
Required:
Discuss how Bob Construction should calculate the transaction price of the contract with Animania Property Holdings.
Part B
Bob Construction had a significant store of construction machinery standing idle, which it decided to sell. It managed to sell machinery for C to Goofy Property Holdings in January X Goofy Property Holdings will pay for this machinery in equal instalments, payable annually in arrears. The machinery's cash selling price was C
Required:
a Discuss how Bob Construction should calculate and allocate the transaction price from the contract with Goofy Property Holdings for the year ended December X
b Prepare the journal entries to account for the contract with Goofy Property Holdings for the year ended December and briefly discuss the principles behind the journals
Ignore loss allowances.
Step by Step Solution
There are 3 Steps involved in it
1 Expert Approved Answer
Step: 1 Unlock
Question Has Been Solved by an Expert!
Get step-by-step solutions from verified subject matter experts
Step: 2 Unlock
Step: 3 Unlock
