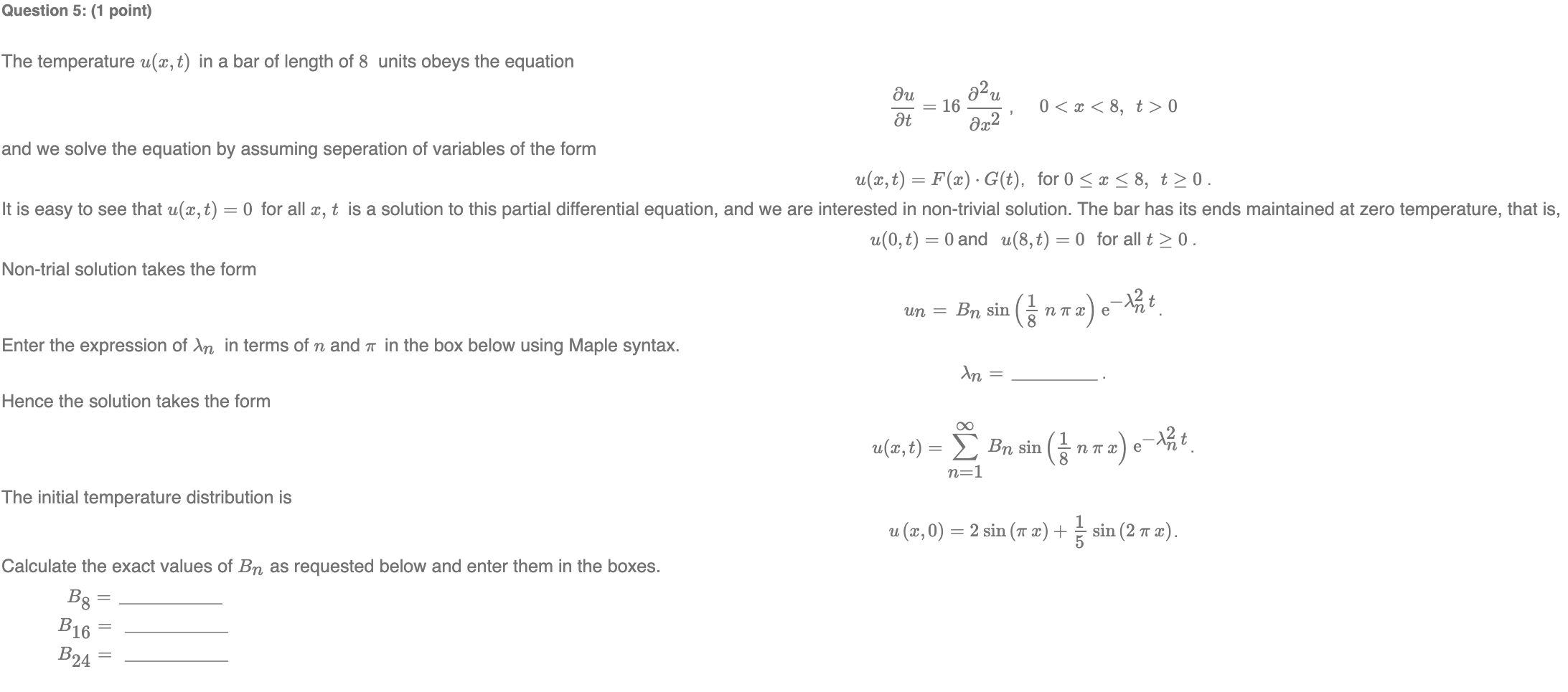
Question: Question 5: (1 point) The temperature u(a:,t) in a bar of length of 8 units obeys the equation @21662u, 0 0 at 311:2 and we

Question 5: (1 point) The temperature u(a:,t) in a bar of length of 8 units obeys the equation @21662u, 0
Step by Step Solution
There are 3 Steps involved in it
Get step-by-step solutions from verified subject matter experts
