Question: QUESTION 5 : 2 0 marks SHOW ALL SUPPORTING CALCULATIONS FOR THIS PROBLEM. NO MARKS WILL BE AWARDED FOR ANSWERS TO THE PROBLEMS UNSUPPORTED BY
QUESTION : marks
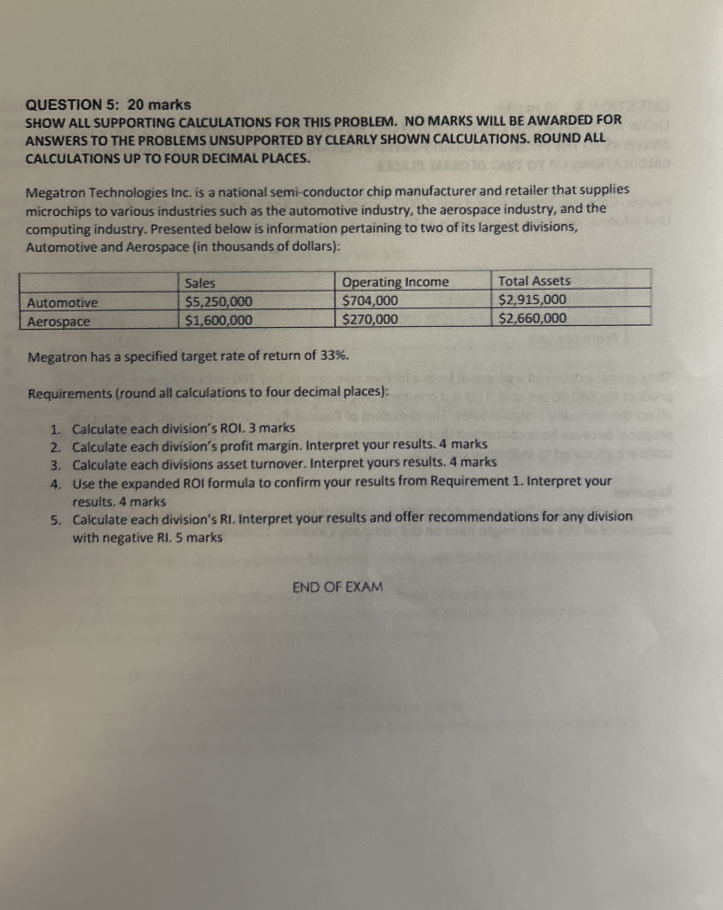
SHOW ALL SUPPORTING CALCULATIONS FOR THIS PROBLEM. NO MARKS WILL BE AWARDED FOR ANSWERS TO THE PROBLEMS UNSUPPORTED BY CLEARLY SHOWN CALCULATIONS. ROUND ALL. CALCULATIONS UP TO FOUR DECIMAL PLACES.
Megatron Technologies Inc. is a national semiconductor chip manufacturer and retailer that supplies microchips to various industries such as the automotive industry, the aerospace industry, and the computing industry. Presented below is information pertaining to two of its largest divisions, Automotive and Aerospace in thousands of dollars:
tableSales,Operating Income,Total AssetsAutomotive$$$
Step by Step Solution
There are 3 Steps involved in it
1 Expert Approved Answer
Step: 1 Unlock
Question Has Been Solved by an Expert!
Get step-by-step solutions from verified subject matter experts
Step: 2 Unlock
Step: 3 Unlock
