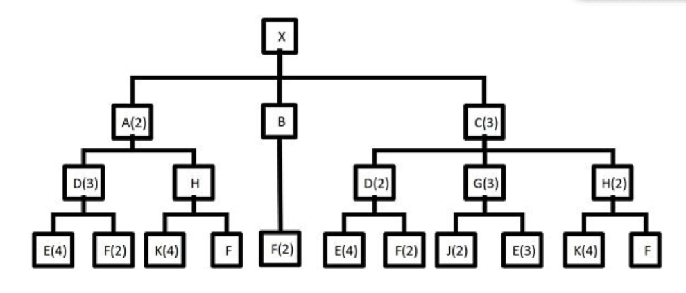
Question: Question 5 Consider the product structure tree shown : With a beginning inventory of ten for all components on level one, five for all components
Question 5
Consider the product structure tree shown :
With a beginning inventory of ten for all components on level one, five for all components on level two, and zero for all components on level three and finished items, how many assembly E's are needed to produce 30 product X's? (Hint: You don't need to develop an MRP table to determine this; instead you may find the attached table helpful - which is partially filled.)
| Level | Item | GR from? | GR | OH | NR |
| 0 | X | MPS | 30 | 0 | 30 |
| 1 | A | 2*NR(X) | 60 | ||
| 1 | B | 1*NR(X) | 30 | ||
| 1 | C | 3*NR(X) | 90 | ||
A(2) B C(3) D(3) . D(2) G(3) H(2) E(4) F(2) K(4) F(2) E(4) F(2) J(2) E(3) K(4)
Step by Step Solution
There are 3 Steps involved in it
Get step-by-step solutions from verified subject matter experts
