Question: Question #5 please! Inventory management problems (formulas and probability table previously provided) Utilize the following data for these questions. Be sure to show your work.

Question #5 please!
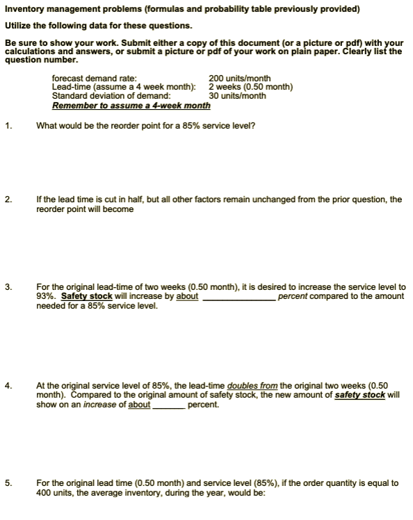
Inventory management problems (formulas and probability table previously provided) Utilize the following data for these questions. Be sure to show your work. Submit either a copy of this document (or a picture or pdf) with your calculations and answers, or submit a picture or pdf of your work on plain paper. Clearly list the question number. forecast demand rate: 200 units/month Lead-time (assume a 4 week month): 2 weeks (0.50 month) Standard deviation of demand: 30 units/month Remember to assume a 4-week month What would be the reorder point for a 85% service level? 1. 2. If the lead time is cut in half, but all other factors remain unchanged from the prior question, the reorder point will become 3. For the original lead-time of two weeks (0.50 month), it is desired to increase the service level to 93%. Safety stock will increase by about percent compared to the amount needed for a 85% service level. 4. At the original service level of 85%, the lead-time doubles from the original two weeks (0.50 month). Compared to the original amount of safety stock, the new amount of safety stock will show on an increase of about percent. 6. For the original lead time (0.50 month) and service level (85%), if the order quantity is equal to 400 units, the average inventory, during the year, would beStep by Step Solution
There are 3 Steps involved in it
1 Expert Approved Answer
Step: 1 Unlock
Question Has Been Solved by an Expert!
Get step-by-step solutions from verified subject matter experts
Step: 2 Unlock
Step: 3 Unlock
