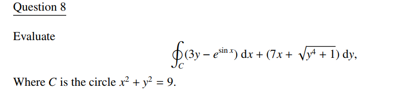
Question: Question 8 Evaluate o C ( 3 y - e s i n x ) d x + ( 7 x + y 4 +
Question
Evaluate
Where the circle
Step by Step Solution
There are 3 Steps involved in it
1 Expert Approved Answer
Step: 1 Unlock
Question Has Been Solved by an Expert!
Get step-by-step solutions from verified subject matter experts
Step: 2 Unlock
Step: 3 Unlock
