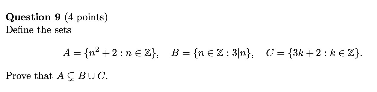
Question: Question 9 (4 points) Define the sets A = {n'+2:nEZ}, B= {nEZ : 3n}, C= {3k+2 :keZ). Prove that A C BUC

Step by Step Solution
There are 3 Steps involved in it
1 Expert Approved Answer
Step: 1 Unlock
Question Has Been Solved by an Expert!
Get step-by-step solutions from verified subject matter experts
Step: 2 Unlock
Step: 3 Unlock
