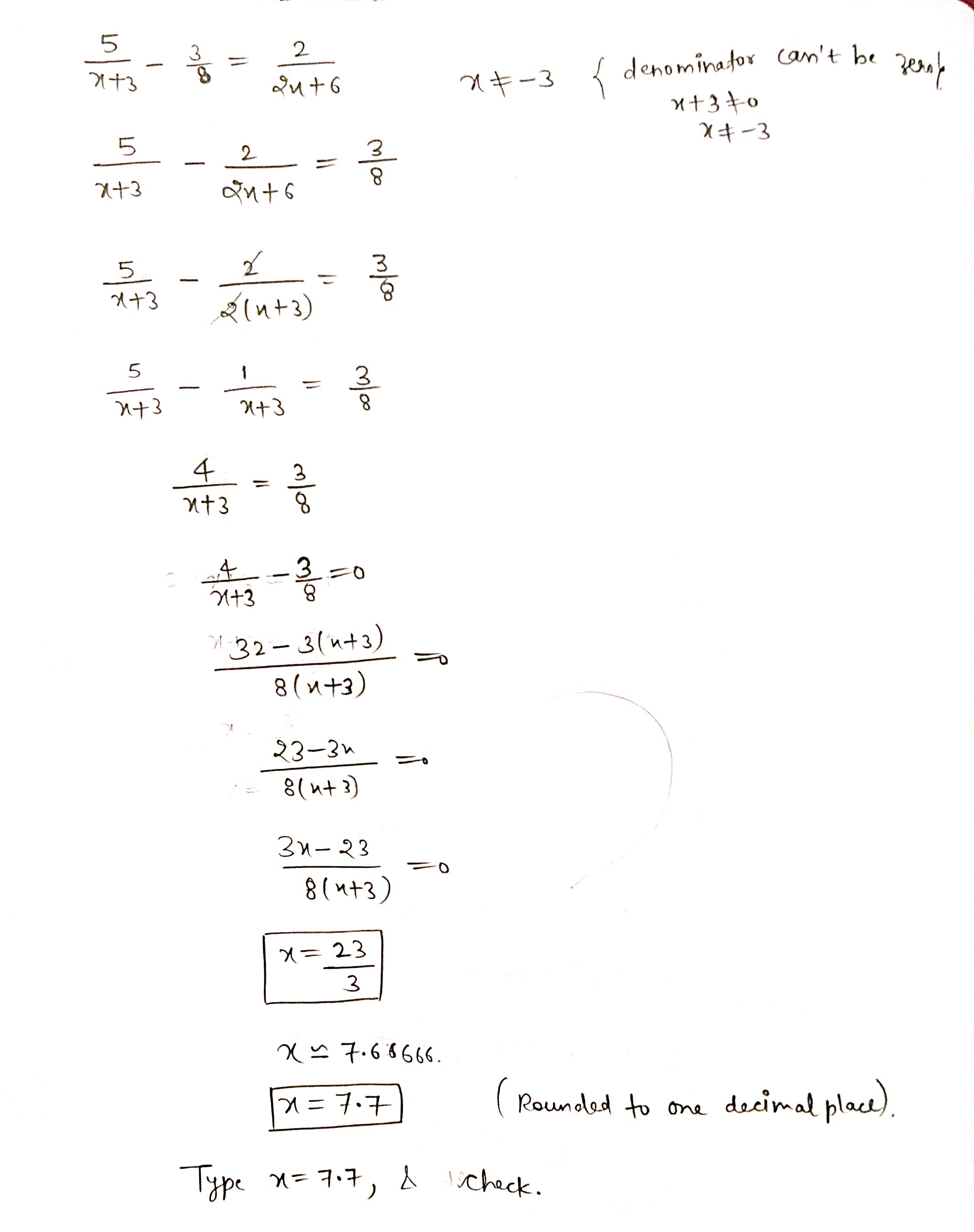
Question: Question 9 Solve for ac 2 x +3 8 3 2x + 6 (no fractions) (Round to one decimal place) (Type n.a or no solution


Question 9 Solve for ac 2 x +3 8 3 2x + 6 (no fractions) (Round to one decimal place) (Type "n.a" or "no solution" if the final answer does not solve the equation) Check Answer5 3 2 MF - 3 { denominator can't be geant x+3+0 5 2 3 X *-3 X+3 8 5 2 2+ 3 (n+ 3 ) 5 x1+ 3 21+ 3 4 = co/ w 4- 3 21+ 3 1: 32 - 3 ( ut 3 ) 8 (N+ 3 ) 23 - 3 h 8 ( ut 3 ) 3x- 23 = 0 8 (4+ 3 X = 23 3 X- 7. 6 6 666. 21 = 7.7 ( Rounded to one decimal place ) . Type n= 7.7 , & Icheck
Step by Step Solution
There are 3 Steps involved in it
Get step-by-step solutions from verified subject matter experts
