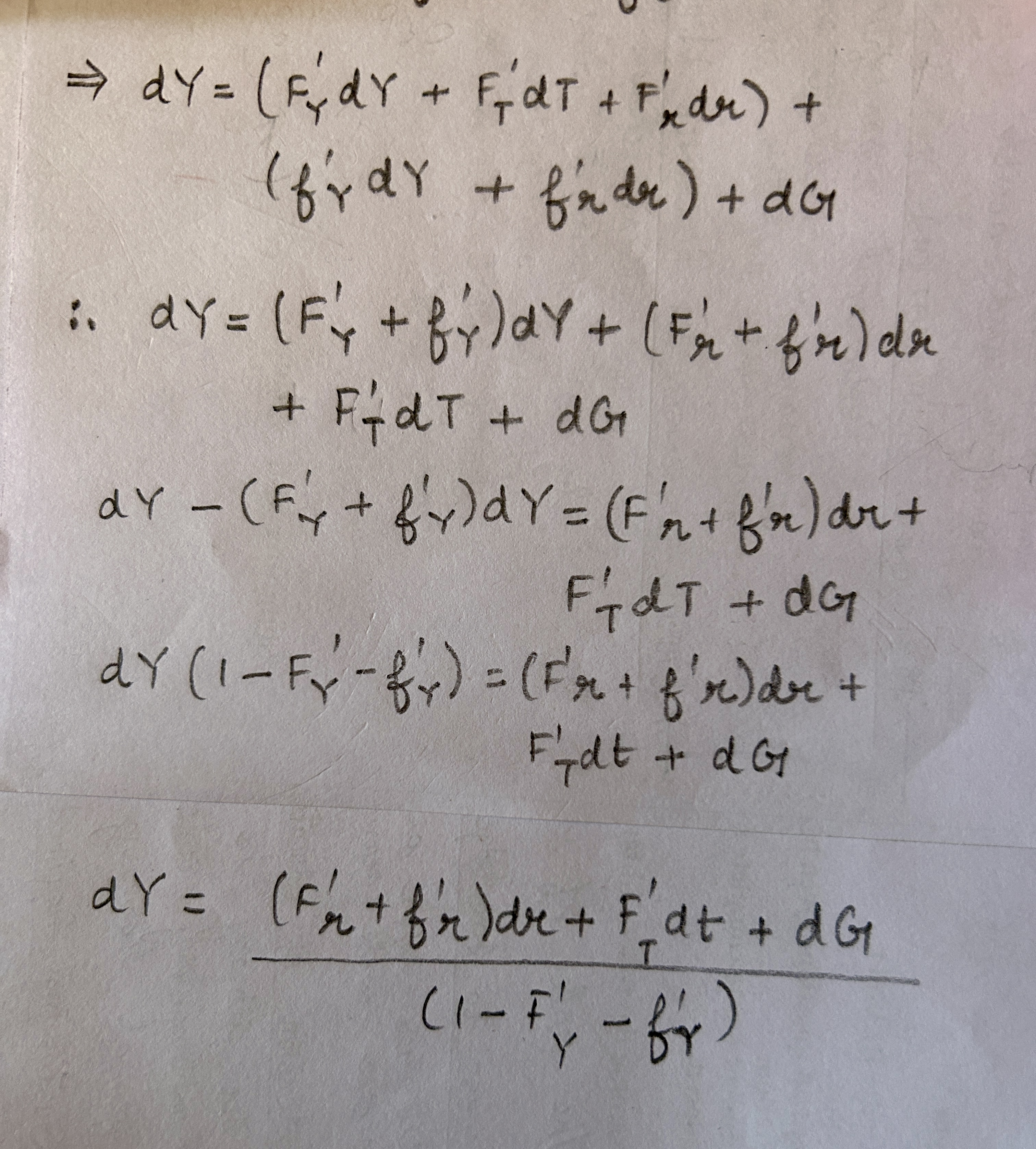
Question: QUESTION Consider the macroeconomic model (1) Y=C+I+G (2) 0=F(YT,r) (3) 1=f( Y,r) where F and f are continuously differentiable functions with F > 0, F;


QUESTION Consider the macroeconomic model (1) Y=C+I+G (2) 0=F(YT,r) (3) 1=f( Y,r) where F and f are continuously differentiable functions with F > 0, F; 0, f;
Step by Step Solution
There are 3 Steps involved in it
1 Expert Approved Answer
Step: 1 Unlock
Question Has Been Solved by an Expert!
Get step-by-step solutions from verified subject matter experts
Step: 2 Unlock
Step: 3 Unlock
