Question: Question: Derive a method for approximating f (x o ) whose error term is of order h 4 by expanding the function f in a

Question: Derive a method for approximating f(xo) whose error term is of order h4 by expanding
the function f in a fourth Taylor polynomial about xo and evaluating atxo + h, xo+ 2h,
xo +3h, xo+4h and xo +5h.
sample problem given:

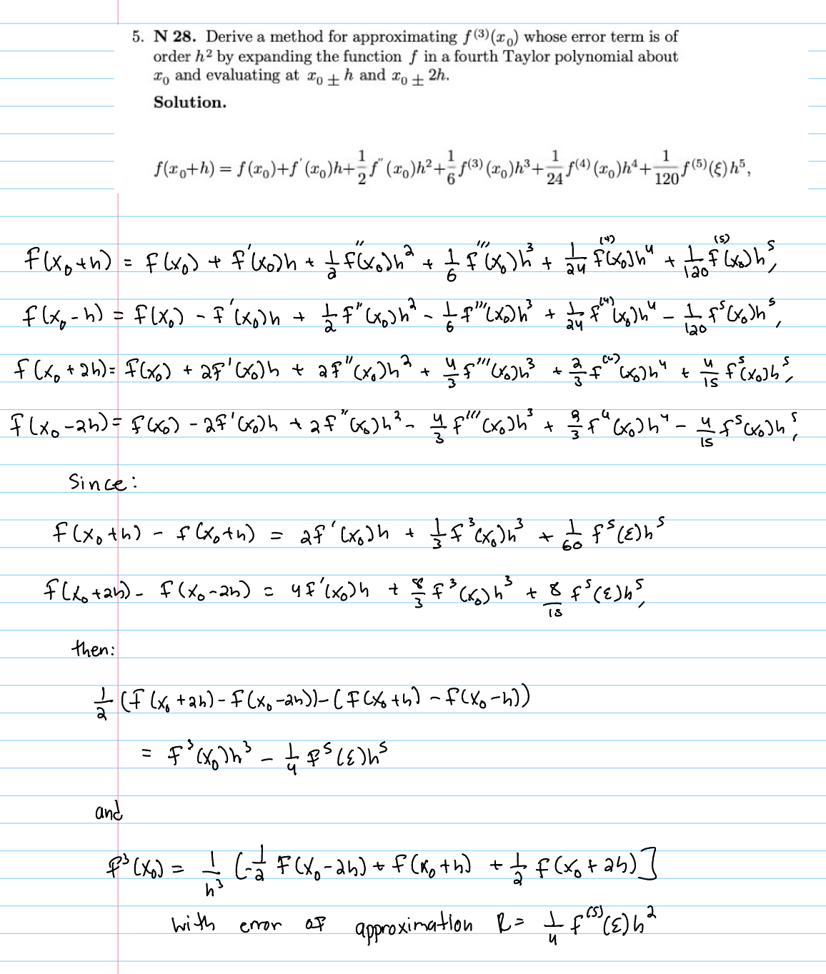
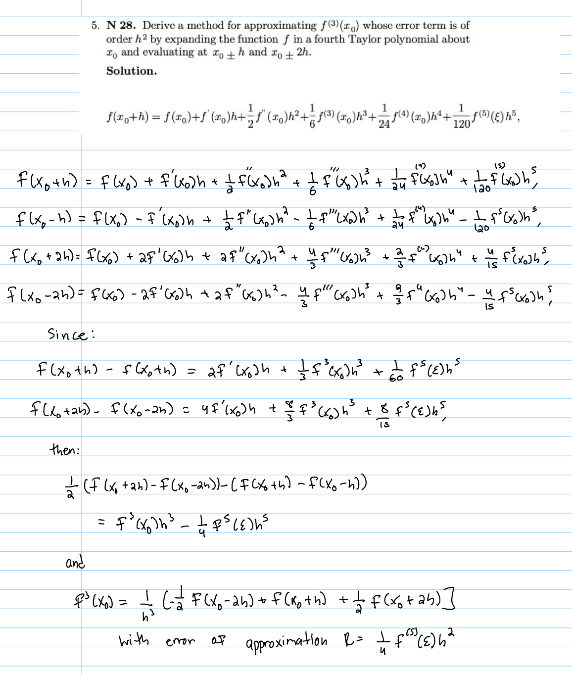
5. N 28. Derive a method for approximationg f (3)(To) whose error term is of order h2 by expanding the function f in a fourth Taylor polynomial about To and evaluating at To + h and To + 2h. Solution. f ( roth ) = f(I. )f ( = ) ht - f (20 )h 2 + = [(3) ( x0 ) h3 + 2 8(4) ( xo )h' + of(5 ) ( 8 ) h5 , F ( x, th ) = F ( xo ) + f losh + ff(xodh + 1 F ( x )hit my flash" + I F ( x )h F( x, - h ) = FIX. ) - I lxon + FF" (xoh" - If"Lah + ff lish" _ 1 85( )h 120 f ( x o + 2h ) = F ( x ) + 2F' (olb + aF " (x. )h 3 + us F ( xo- 26 ) = FC)- 2F' (oh + of "(o)h " "F"(xosh + 3 f (oh" - ufs crash , Since : F ( x , th ) - F ( xoth ) = af '( xojh + = F (xo) h) * L FS(EOhs TS then : - ( F ( x tah ) - F ( xo- an) ) - (F( xoth ) ~ f( xo-h) ) = F'Cloths - L BS LEDs Pun P' ( xo ) = - ( - 2 F ( x - ah ) + f ( Roth ) + + F (xo+ as ) ] with error of approximation R = JF"( E )62
Step by Step Solution
There are 3 Steps involved in it
Get step-by-step solutions from verified subject matter experts
