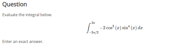
Question: Question Evaluate the integral below. int _ ( - 3 ( pi ) / ( 2 ) ) ^ ( 3 pi
Question
Evaluate the integral below.
intpi pi cosxsinxdx
Enter an exact answer.
Step by Step Solution
There are 3 Steps involved in it
1 Expert Approved Answer
Step: 1 Unlock
Question Has Been Solved by an Expert!
Get step-by-step solutions from verified subject matter experts
Step: 2 Unlock
Step: 3 Unlock
