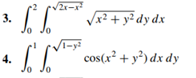
Question: QUESTION: Evaluate the iterated integral by converting to polar co-ordinates. The iterated integrals are placed in attachment below. f
QUESTION:
Evaluate the iterated integral by converting to polar co-ordinates. The iterated integrals are placed in attachment below.

\f
Step by Step Solution
There are 3 Steps involved in it
Get step-by-step solutions from verified subject matter experts
